Для студентов по предмету Механика жидкости и газа (МЖГ или Гидравлика)Задача 10-25Задача 10-25
5,00516
2022-05-312022-05-31СтудИзба
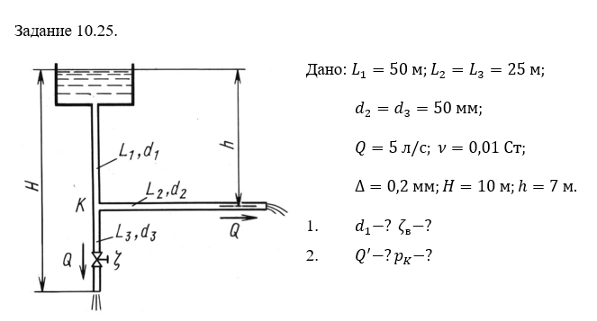
Задача 10: Задача 10-25 вариант 25
Описание
Не только копировать, а нужно понимать!
![]()

Характеристики решённой задачи
Номер задания
Вариант
Программы
Теги
Просмотров
108
Качество
Идеальное компьютерное
Размер
79,28 Kb
Список файлов
10.25.docx

Привет всем! Я автор на Студизбе. Я надеюсь что, не только дам Вам файлы с ответом но и знание. Не только копировать, а нужно понимать! Вставьте 5 звезд и позитивные комментарии сразу дам Вам подарок