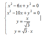
Для студентов по предмету МатематикаНайти площадь плоской пластины D, ограниченной линиямиНайти площадь плоской пластины D, ограниченной линиями
5,0053184
2025-03-112025-03-11СтудИзба
Задача: Найти площадь плоской пластины D, ограниченной линиями
Описание
Найти площадь плоской пластины D, ограниченной линиями

Характеристики решённой задачи
Предмет
Просмотров
4
Качество
Идеальное компьютерное
Размер
76,26 Kb
Список файлов
file_424_TYAcLLSVsH.docx

Если нужен другой вариант работы или отдельная задача из любой работы, пишите в комментарии