Для студентов ОСЭК по предмету МатематикаПрактическое задание 5 Математика СОО 1 частьПрактическое задание 5 Математика СОО 1 часть
5,0057
2026-01-042026-01-04СтудИзба
☀️Математика СОО Практическое задание 5 | ОСЭК 100% правильно☀️
ДЗ 5: Практическое задание 5 Математика СОО 1 часть
-13%
Описание
📑 ▶️ База ответов ко всем тестам для ОСЭК (жми на текст!) 📃 ◀️
✒️▶️ Готовые работы и услуги для ОСЭК! (жми на текст!) 😊◀️
📇▶️Помощь с закрытием ВСЕГО семестра (жми на текст!) ◀️ 📇
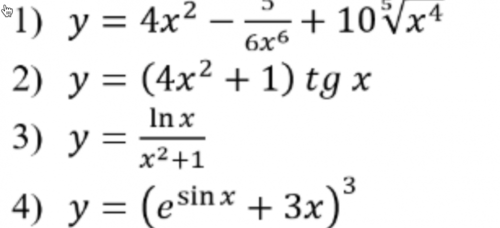
Найдите производные функций:
Показать/скрыть дополнительное описание
✒️▶️ Готовые работы и услуги для ОСЭК! (жми на текст!) 😊◀️
📇▶️Помощь с закрытием ВСЕГО семестра (жми на текст!) ◀️ 📇
Найдите производные функций:
Показать/скрыть дополнительное описаниеНайдите производные функций:.
Характеристики домашнего задания
Предмет
Учебное заведение
Номер задания
Просмотров
2
Размер
176,47 Kb
Список файлов
Практическое задание 5 Математика СОО 1 часть.docx
Комментарии
Нет комментариев
Стань первым, кто что-нибудь напишет!
ОСЭК
















