Для студентов ОСЭК по предмету МатематикаПрактическое задание 2 Математика СОО 1 частьПрактическое задание 2 Математика СОО 1 часть
5,0051
2026-01-032026-01-03СтудИзба
☀️Математика СОО Практическое задание 2| ОСЭК 100% правильно☀️
ДЗ 2: Практическое задание 2 Математика СОО 1 часть
-13%
Описание
📑 ▶️ База ответов ко всем тестам для ОСЭК (жми на текст!) 📃 ◀️
✒️▶️ Готовые работы и услуги для ОСЭК! (жми на текст!) 😊◀️
📇▶️Помощь с закрытием ВСЕГО семестра (жми на текст!) ◀️ 📇
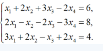
Задание 1.
Решить систему линейных уравнений методом Гаусса и методом Крамера:
Задание 2
Решить систему линейных уравнений:
Показать/скрыть дополнительное описание
✒️▶️ Готовые работы и услуги для ОСЭК! (жми на текст!) 😊◀️
📇▶️Помощь с закрытием ВСЕГО семестра (жми на текст!) ◀️ 📇
Задание 1.
Решить систему линейных уравнений методом Гаусса и методом Крамера:
Задание 2 Решить систему линейных уравнений:
Показать/скрыть дополнительное описаниеадание 1. Решить систему линейных уравнений методом Гаусса и методом Крамера: Задание 2 Решить систему линейных уравнений:.
Характеристики домашнего задания
Предмет
Учебное заведение
Номер задания
Просмотров
4
Размер
18,05 Mb
Список файлов
Практическое задание2.doc
Комментарии
Нет комментариев
Стань первым, кто что-нибудь напишет!
ОСЭК
















