Математика (базовая) Темы 1-6
Описание
Введение в курс
Тема 1. Развитие понятия о числе
Тема 2. Корни, степени, логарифмы
Тема 3. Основы тригонометрии
Тема 4. Функции, их свойства и графики
Тема 5. Начала математического анализа
Тема 6. Уравнения и неравенства
Самопроверка остаточных знаний
Число a €[ - p / 2; p / 2] такое, что tg a = a, называется ... числа a
Число a €[ 0; p ] такое, что сtg a = a, называется ... числа a
арккотангенсом
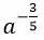
Значение выражения равно ...
Ö3
2Ö3
2
Ö11
В уравнении х = 1 + Öx 4+11 переменная равна ...
Выражение alogab = b называют основным ... тождеством
@
больше
меньше
равна
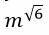
Выражение равняется ...
2
3
-3
-6
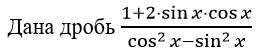
Дана дробь
Нужно использовать формулу двойного угла
Нужно использовать тождество: sin2x + cos2x = 1
Нужно использовать деление на sin х
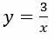
Ордината точки, которая ограничивает функцию у = 5 — 2х2 сверху, равна
2
5
-5
2/5
Функция у = x5 относится к ... виду
тригонометрическому
логарифмическому
показательному
степенному
Областью значений Е(y) функции у = х2 + 9 является множество ...
(9;+∞]
[9;+∞)
(-∞;3)
[-9;+∞)
Последовательность называется ...» если для любого n € N выполняется неравенство аn > аn+1
Последовательность (bn), в которой каждый последующий член можно найти, если предыдущий член умножить на одно и то же число q, называется ... прогрессией
Производной функции (arcsinx)' является ...
Корнем уравнения 9х — 26 -3х — 27 = 0 является х = ...
Корнем уравнения log5(x + 4) + log5 х = 1 является х = ...
Неравенство
имеет корень х > -3
имеет корень х < -3
имеет корень х < 5 (9/64)
не имеет корней
Корнем уравнения log3(5 — х) = 2 log3 2 является ...
х = 1 1/2
х = -1
х = 1
х = 2
Решением неравенства является множество ...
[4;6]
[4;5]
[5;6]
[6;10]
Абсолютную величину разности между точным числом x и его приближённым значением а называют абсолютной …
Абсолютным значением или … числа n называется число, которое обозначается |n|
Абсолютным значением числа -3 является число …
В стационарных точках функции производная функции …
равна нулю
не существует
положительна
отрицательна
Верным является утверждение, что … (укажите 2 варианта ответа)
любое целое число является рациональным
любое целое число является натуральным
нуль – натуральное число
нуль – рациональное число
Два уравнения называются …, если они имеют одинаковые корни или если оба уравнения не имеют корней
Если в некоторой точке производная функции не существует или равна нулю, то это – …
точка изгиба
критическая точка
стационарная точка
точка ускорения
Если на промежутке (a;b) для функции f(x) выполняется условие f(x)<0, то функция на заданном промежутке …
имеет перегиб
имеет минимум
возрастает
убывает
Знак первой производной функции показывает … функции
характер разрыва
четность и нечетность
характер монотонности
область определения
Интервалы знакопостоянства для функции y=3⋅x^2: …
(-∞;3) отрицательна
(0;3) положительна
(-∞;0) отрицательна и (0;+∞) положительна
(-∞;3) отрицательна и (3;+∞) положительна
Корнем уравнения 6^2x=(1/6)^4 является …
x=-4
x=-8
x=4
x=8
Котангенсом угла α (ctgα) называетсяотношениекосинусауглаαкего…
Логарифм положительного числа b по основанию 10 называют … логарифмом числа b и обозначают lg b
Наибольшим значением функции y=sinx является…
1
-1
0
+∞
Наименьшим значением функции y=cosx является…
+∞
-1
0
1
Натуральные числа, число нуль и числа, противоположные натуральным, – это … числа
Неверно, что уравнение всегда заменяется на равносильное, если …
перенести член уравнения из одной части в другую, изменив его знак на противоположный
обе части уравнения умножить на одно и то же число, не равное нулю
обе части уравнения возвести в квадрат
обе части уравнения разделить на одно и то же число, не равное нулю
Неравенство, левая и правая части которого являются дробно-рациональными функциями, то есть функциями, представимыми в виде отношения многочленов
Область определения функции y=ctg x: …
Ограниченной снизу является функция …
Отношение абсолютной погрешности приближённого числа ∆a к значению самого числа x называется … погрешностью δa приближённого числа а
Отношение синуса угла α к его косинусу – это … угла α
Последовательность (b_n), в которой каждый последующий член можно найти, если предыдущий член умножить на одно и то же число q, называется … прогрессией
Производной тригонометрической функцией является …
арккосинус
тангенс
синус
арктангенс
Промежутки значений аргумента (x), на которых функция сохраняет свой знак, то есть f(x)>0 или f(x)<0, – это промежутки … функции y=f(x)
Равенство |x+8|=2 верно …
только при x=-10
только при x=-6
при x=-10 и x=-6
Разность между числом x и его приближённым значением a называют … приближенного числа a
Рациональное уравнение называется дробным, когда переменная содержится хотя бы в одном из …
Решению неравенства |x - 2| < 5 соответствует интервал …
(−∞; −3) ∪ (7; +∞)
(−∞; −3] ∪ [7; +∞)
(−3; 7)
Степень с иррациональным показателем имеет выражение … (укажите 2 варианта ответа
Тангенсом угла α (tg α) называется отношение … угла α к его косинусу
Точка, в которой график функции меняет выпуклость вниз (вверх) на выпуклость вверх (вниз), – это точка … функции
Уравнение, в котором неизвестное находится в показателе степени числа, называется … уравнением
Уравнение, в котором неизвестное находится под знаком корня, называется … уравнением
Условие, состоящее в одновременном выполнении нескольких уравнений относительно нескольких (или одной) переменных, – это … уравнений
Установите последовательность действий для вычисления предела
1 представить предел произведения как произведение пределов
2 вынести общий множитель за скобку
3 вынести константу за знак предела
4 подставить значение, к которому стремится аргумент
Установите последовательность значений в порядке от наименьшего к наибольшему:
1 @
2 @
3 @
4 @
Установите последовательность значений функций от наименьшего значения к наибольшему:
1 sin 0°
2 cos 60°
3 tg 45°
4 cos 45°
5 sin 90°
Установите последовательность радианных значений углов в порядке возрастания:
1 @
2 @
3 @
4 @
5 @
Установите последовательность функции в порядке возрастания их значений при x=-1:
1 @
2 @
3 @
4 @
Установите последовательность шагов алгоритма решения рационального уравнения:
1 определить область допустимых значений
2 найти общий знаменатель дробей и умножить на него обе части уравнения
3 решить получившееся целое уравнение
4 исключить из уравнения те корни, которые обращают знаменатель дробей в ноль
Установите последовательность этапов вычисления предела (lim)┬(x→1) (5x^2+4x-2):
1 представить предел суммы как сумму пределов
2 вынести константу за знак предела
3 подставить значение, к которому стремится аргумент, в каждый из пределов
4 вычислить пределы и сложить результат
Установите последовательность этапов исследования функции:
1 найти область определения функции
2 найти область значений функции
3 найти нули функции
4 найти промежутки знакопостоянства функции
Установите соответсвие между числами и их видами:
A. 2; 2,37; 2/3
B. √3; π; 1,12345…
C. −3; 0; −18; −129
D. рациональные числа
E. иррациональные числа
F. неположительные целые числа
Установите соответствие между видами функций и их характеристиками:
A. Квадратичная функция
B. Линейная функция
C. Ограниченная функция
D. Четная функция
E. зависит от дискриминанта
F. имеет один корень
G. лежит в промежутке a≤f(x)≤b
H. симметрична относительно оси Oy
Установите соответствие между началами утверждений и их продолжениями:
A. Физический смысл первой производной – это
B. Геометрический смысл производной – это
C. Физический смысл второй производной – это
D. Равенство нулю производной – это
E. мгновенная скорость
F. угловой коэффициент наклона касательной к графику функции
G. ускорение движения
H. стационарные точки
Установите соответствие между началами утверждений и их продолжениями:
A. Чтобы найти нули функции y=f(x)
B. Чтобы найти промежутки знакопостоянства функции
C. Чтобы найти область определения функции
D. Чтобы найти область значений функции
E. необходимо решить уравнение f(x)=0
F. необходимо найти область, где f(x)>0 или f(x)<0
G. необходимо найти все значения x, при которых функция определена
H. необходимо найти все действительные значения функции
Установите соответствие между началами формул и их продолжениями:
A. @
B. @
C. @
D. @
E. @
F. @
G. @
H. @
Установите соответствие между уравнениями и их корнями:
A. @
B. @
C. @
D. x=6
E. x=0
F. x=-7
Установите соответствие между уравнениями и их корнями:
A. @
B. @
C. @
D. @
E. @
F. @
G. @
H. @
Установите соответствие между уравнениями и их характеристиками:
A.
B. @
C. @
D. имеет один корень
E. не имеет действительных корней
F. имеет два корня
Установите соответствие между функциями и их видами:
A.@
B.@
C.@
D.@
E. степенная функция
F. показательная функция
G. логарифмическая функция
H. тригонометрическая функци
Установите соответствие между функциями и их производными:
A.@
B.@
C.@
D.@
E.
F.
https://lms.synergy.ru/us...atika.dor_SPO/5/17.b%20vopros.jpg">G.@
H.@
Установите соответствие между числами и знаками, которые нужно между ними поставить, чтобы получить верное равенство или неравенство:
A. 1/3 и 0,3
B. 1/3 и 0,(3)
C. 0,3 и 0,(3)
D. >
E. =
F. <
Установите соответствие между числами и их видами:
A. @
B. @
C. @
D. рациональные числа
E. иррациональные числа
F. неположительные целые числа
Фигуру, ограниченную осью абсцисс (прямая y = 0), вертикальными прямыми x = a, x = b и графиком непрерывной и неотрицательной на отрезке [a; b] функции f (x) (см. рисунок ниже) называю … трапецией
Функция y=f(x) называется … функцией, если существует такое положительное число Т, что для любого значения x∈D(f) значение x + T также принадлежит области определения функции и что f(x)=f(x+T)
Функция, обратная функции y=2x-5, имеет вид …
@
@
@
@
Функция, обратная функции y=2x-5, имеет вид …
x=2y+5
y=5-2x
y= x+5 / 2
y= x-5 / 2
Целые и дробные числа, такие как обыкновенные дроби, конечные десятичные дроби и бесконечные периодические дроби, – это … числа
Чётной функции y=f(x) соответствует равенство …
f(-x)=-f(x)
-f(-x)=f(-x)
-f(x)=-f(-x)
f(-x)=f(x)Показать/скрыть дополнительное описание
Математика (базовая) Введение в курс Тема 1. Развитие понятия о числе Тема 2. Корни, степени, логарифмы Тема 3. Основы тригонометрии Тема 4. Функции, их свойства и графики Тема 5. Начала математического анализа Тема 6. Уравнения и неравенства Самопроверка остаточных знаний Число €[ - / 2; / 2] такое, что tg = , называется ... числа Число €[ 0; ] такое, что сtg = , называется ... числа арккотангенсом Значение выражения равно ... 3 23 2 11 В уравнении х = 1 + x 4+11 переменная равна ... Выражение alogab = b называют основным ... тождеством @https://lms.synergy.ru/user_files/1604396/Matematika.dor_SPO/1/5_0 больше меньше равна Выражение равняется ...
2 3 -3 -6 Дана дробь Нужно использовать формулу двойного угла Нужно использовать тождество: sin2x + cos2x = 1 Нужно использовать деление на sin х Ордината точки, которая ограничивает функцию у = 5 — 2х2 сверху, равна 2 5 -5 2/5 Функция у = x5 относится к ... виду тригонометрическому логарифмическому показательному степенному Областью значений Е(y) функции у = х2 + 9 является множество ... (9;+∞] [9;+∞) (-∞;3) [-9;+∞) Последовательность называется ...» если для любого n € N выполняется неравенство аn > аn+1 Последовательность (bn), в которой каждый последующий член можно найти, если предыдущий член умножить на одно и то же число q, называется ... прогрессией Производной функции (arcsinx)\' является ...
Корнем уравнения 9х — 26 -3х — 27 = 0 является х = ... Корнем уравнения log5(x + 4) + log5 х = 1 является х = ... Неравенство имеет корень х > -3 имеет корень х < -3 имеет корень х < 5 (9/64) не имеет корней Корнем уравнения log3(5 — х) = 2 log3 2 является ... х = 1 1/2 х = -1 х = 1 х = 2 Решением неравенства является множество ... [4;6] [4;5] [5;6] [6;10] Абсолютную величину разности между точным числом x и его приближённым значением а называют абсолютной … Абсолютным значением или … числа n называется число, которое обозначается |n| Абсолютным значением числа -3 является число … В стационарных точках функции производная функции … равна нулю не существует положительна отрицательна Верным является утверждение, что … (укажите 2 варианта ответа) любое целое число является рациональным любое целое число является натуральным нуль – натуральное число нуль – рациональное число Два уравнения называются …, если они имеют одинаковые корни или если оба уравнения не имеют корней Если в некоторой точке производная функции не существует или равна нулю, то это – … точка изгиба критическая точка стационарная точка точка ускорения Если на промежутке (a;b) для функции f(x) выполняется условие f(x)<0, то функция на заданном промежутке … имеет перегиб имеет минимум возрастает убывает Знак первой производной функции показывает … функции характер разрыва четность и нечетность характер монотонности область определения Интервалы знакопостоянства для функции y=3⋅x^2: … (-∞;3) отрицательна (0;3) положительна (-∞;0) отрицательна и (0;+∞) положительна (-∞;3) отрицательна и (3;+∞) положительна Корнем уравнения 6^2x=(1/6)^4 является … x=-4 x=-8 x=4 x=8 Котангенсом угла α (ctgα) называется отношение косинуса угла α к его … Логарифм положительного числа b по основанию 10 называют … логарифмом числа b и обозначают lg b Наибольшим значением функции y=sinx является … 1 -1 0 +∞ Наименьшим значением функции y=cosx является … +∞ -1 0 1 Натуральные числа, число нуль и числа, противоположные натуральным, – это … числа Неверно, что уравнение всегда заменяется на равносильное, если … перенести член уравнения из одной части в другую, изменив его знак на противоположный обе части уравнения умножить на одно и то же число, не равное нулю обе части уравнения возвести в квадрат обе части уравнения разделить на одно и то же число, не равное нулю Неравенство, левая и правая части которого являются дробно-рациональными функциями, то есть функциями, представимыми в виде отношения многочленов Область определения функции y=ctg x: … Ограниченной снизу является функция … Отношение абсолютной погрешности приближённого числа ∆a к значению самого числа x называется … погрешностью δa приближённого числа а Отношение синуса угла α к его косинусу – это … угла α Последовательность (b_n), в которой каждый последующий член можно найти, если предыдущий член умножить на одно и то же число q, называется … прогрессией Производной тригонометрической функцией является … арккосинус тангенс синус арктангенс Промежутки значений аргумента (x), на которых функция сохраняет свой знак, то есть f(x)>0 или f(x)<0, – это промежутки … функции y=f(x) Равенство |x+8|=2 верно … только при x=-10 только при x=-6 при x=-10 и x=-6 Разность между числом x и его приближённым значением a называют … приближенного числа a Рациональное уравнение называется дробным, когда переменная содержится хотя бы в одном из … Решению неравенства |x - 2| < 5 соответствует интервал … (−∞; −3) ∪ (7; +∞) (−∞; −3] ∪ [7; +∞) (−3; 7) Степень с иррациональным показателем имеет выражение … (укажите 2 варианта ответа Тангенсом угла α (tg α) называется отношение … угла α к его косинусу Точка, в которой график функции меняет выпуклость вниз (вверх) на выпуклость вверх (вниз), – это точка … функции Уравнение, в котором неизвестное находится в показателе степени числа, называется … уравнением Уравнение, в котором неизвестное находится под знаком корня, называется … уравнением Условие, состоящее в одновременном выполнении нескольких уравнений относительно нескольких (или одной) переменных, – это … уравнений Установите последовательность действий для вычисления предела 1 представить предел произведения как произведение пределов 2 вынести общий множитель за скобку 3 вынести константу за знак предела 4 подставить значение, к которому стремится аргумент Установите последовательность значений в порядке от наименьшего к наибольшему: 1 @https://lms.synergy.ru/user_files/1604396/Matematica/10_3.png 2 @https://lms.synergy.ru/user_files/1604396/Matematica/10_4.png 3 @https://lms.synergy.ru/user_files/1604396/Matematica/10_2.png 4 @https://lms.synergy.ru/user_files/1604396/Matematica/10_1.png Установите последовательность значений функций от наименьшего значения к наибольшему: 1 sin 0° 2 cos 60° 3 tg 45° 4 cos 45° 5 sin 90° Установите последовательность радианных значений углов в порядке возрастания: 1 @https://lms.synergy.ru/user_files/1604396/Matematika.dor_SPO/3/18.2%20vopros.jpg 2 @https://lms.synergy.ru/user_files/1604396/Matematika.dor_SPO/3/18.5%20vopros.jpg 3 @https://lms.synergy.ru/user_files/1604396/Matematika.dor_SPO/3/18.1%20vopros.jpg 4 @https://lms.synergy.ru/user_files/1604396/Matematika.dor_SPO/3/18.4%20vopros.jpg 5 @https://lms.synergy.ru/user_files/1604396/Matematika.dor_SPO/3/18.3%20vopros.jpg Установите последовательность функции в порядке возрастания их значений при x=-1: 1 @https://lms.synergy.ru/user_files/1604396/Matematica/20_2.png 2 @https://lms.synergy.ru/user_files/1604396/Matematica/20_1.png 3 @https://lms.synergy.ru/user_files/1604396/Matematica/20_4.png 4 @https://lms.synergy.ru/user_files/1604396/Matematica/20_3.png Установите последовательность шагов алгоритма решения рационального уравнения: 1 определить область допустимых значений 2 найти общий знаменатель дробей и умножить на него обе части уравнения 3 решить получившееся целое уравнение 4 исключить из уравнения те корни, которые обращают знаменатель дробей в ноль Установите последовательность этапов вычисления предела (lim)┬(x→1) (5x^2+4x-2): 1 представить предел суммы как сумму пределов 2 вынести константу за знак предела 3 подставить значение, к которому стремится аргумент, в каждый из пределов 4 вычислить пределы и сложить результат Установите последовательность этапов исследования функции: 1 найти область определения функции 2 найти область значений функции 3 найти нули функции 4 найти промежутки знакопостоянства функции Установите соответсвие между числами и их видами: A.
2; 2,37; 2/3 B. √3; π; 1,12345… C. −3; 0; −18; −129 D. рациональные числа E. иррациональные числа F. неположительные целые числа Установите соответствие между видами функций и их характеристиками: A. Квадратичная функция B. Линейная функция C. Ограниченная функция D. Четная функция E. зависит от дискриминанта F. имеет один корень G. лежит в промежутке a≤f(x)≤b H. симметрична относительно оси Oy Установите соответствие между началами утверждений и их продолжениями: A. Физический смысл первой производной – это B. Геометрический смысл производной – это C. Физический смысл второй производной – это D. Равенство нулю производной – это E. мгновенная скорость F. угловой коэффициент наклона касательной к графику функции G.
ускорение движения H. стационарные точки Установите соответствие между началами утверждений и их продолжениями: A. Чтобы найти нули функции y=f(x) B. Чтобы найти промежутки знакопостоянства функции C. Чтобы найти область определения функции D. Чтобы найти область значений функции E. необходимо решить уравнение f(x)=0 F. необходимо найти область, где f(x)>0 или f(x)<0 G. необходимо найти все значения x, при которых функция определена H. необходимо найти все действительные значения функции Установите соответствие между началами формул и их продолжениями: A. @https://lms.synergy.ru/user_files/1604396/Matematica/15_1.png B. @https://lms.synergy.ru/user_files/1604396/Matematica/15_2.png C.
@https://lms.synergy.ru/user_files/1604396/Matematica/15_3.png D. @https://lms.synergy.ru/user_files/1604396/Matematica/15_4.png E. @https://lms.synergy.ru/user_files/1604396/Matematica/15_02.png F. @https://lms.synergy.ru/user_files/1604396/Matematica/15_01.png G. @https://lms.synergy.ru/user_files/1604396/Matematica/15_04.png H. @https://lms.synergy.ru/user_files/1604396/Matematica/15_03.png Установите соответствие между уравнениями и их корнями: A. @https://lms.synergy.ru/user_files/1604396/Matematica/31_1.png B. @https://lms.synergy.ru/user_files/1604396/Matematica/31_2.png C. @http....
Список вопросов











Число a €[ - p / 2; p / 2] такое, что tg a = a, называется ... числа a










Значение выражения равно ...

Число a €[ 0; p ] такое, что сtg a = a, называется ... числа a





Неравенство
Эти вопросы в других коллекциях
Характеристики ответов (шпаргалок) к экзамену

