Для студентов МГТУ им. Н.Э.Баумана по предмету Математический анализЭлементарные функции и их графикиЭлементарные функции и их графики
5,0054
2023-09-302025-04-09СтудИзба
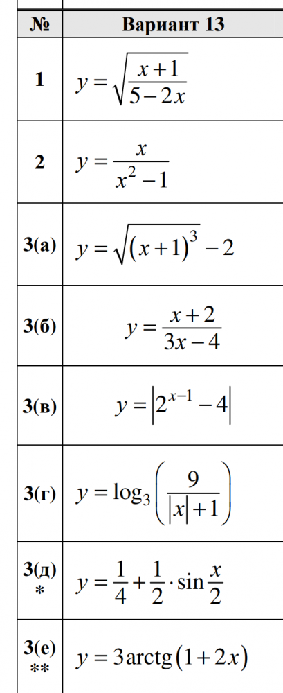
ДЗ 1.1: Элементарные функции и их графики вариант 13
-66%
Описание
Вариант 13 - ДЗ №1 - Элементарные функции и их графики - МТ,РК,ИБМ,Э5,ФН1
Зачтено на максимальный балл 💥 💥 💥
Спасибо за покупку 🥰🥰 🥰

Характеристики домашнего задания
Предмет
Учебное заведение
Семестр
Номер задания
Вариант
Теги
Просмотров
100
Размер
7,23 Mb
Список файлов
Вариант 13 - ДЗ №1 - Элементарные функции и их графики - МТ,РК,ИБМ,Э5,ФН1 ++.pdf

Друзья, спасибо за доверие! Если вам понравилась работа – поставьте 5⭐ и напишите отзыв. Это поможет другим студентам, а мне даст силы делать ещё больше качественных материалов для вас 🔥