Для студентов МГТУ им. Н.Э.Баумана по предмету Интегралы и дифференциальные уравнения (ИиДУ)Определенный интегралОпределенный интеграл
4,965442
2022-03-202024-09-03СтудИзба
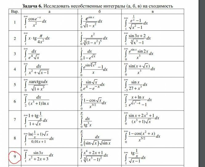
ДЗ 1: Определенный интеграл вариант 9
Бестселлер
-66%
Описание
2022г Вариант 9 - ДЗ №1 - Определённый интеграл
![]()
Интегралы и дифференциальные уравнения (2-й семестр)
Зачтено на максимальный балл







Файлы условия, демо
Характеристики домашнего задания
Учебное заведение
Семестр
Номер задания
Вариант
Программы
Просмотров
1319
Качество
Идеальное компьютерное
Размер
380,11 Kb
Список файлов
Вариант 9 - ДЗ №1 - Определённый интеграл.docx

Друзья, спасибо за доверие! Если вам понравилась работа – поставьте 5⭐ и напишите отзыв. Это поможет другим студентам, а мне даст силы делать ещё больше качественных материалов для вас 🔥
Комментарии

Отзыв
Как мне кажется, всё решено и объяснено правильно. Спасибо большое))

Отзыв
в целом всё норм