Для студентов МГТУ им. Н.Э.Баумана по предмету Математический анализЭлементарные функции и их графикиЭлементарные функции и их графики
4,90547178
2023-09-232025-04-10СтудИзба
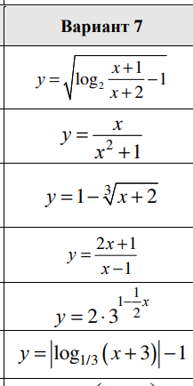
ДЗ 1.1: Элементарные функции и их графики вариант 7
-66%
Описание
Вариант 7 – ДЗ №1 - Элементарные функции и их графики - МТ,РК,ИБМ,Э5,ФН1
Зачтено на максимальный балл 💥 💥 💥
Спасибо за покупку 🥰🥰 🥰
Условие:
Пример решения


Характеристики домашнего задания
Предмет
Учебное заведение
Семестр
Номер задания
Вариант
Теги
Просмотров
60
Размер
525,3 Kb
Список файлов
Вариант 7 – ДЗ №1 - Элементарные функции и их графики -МТ.pdf

Друзья, спасибо за доверие! Если вам понравилась работа – поставьте 5⭐ и напишите отзыв. Это поможет другим студентам, а мне даст силы делать ещё больше качественных материалов для вас 🔥