Для студентов МГТУ им. Н.Э.Баумана по предмету Математический анализПределы и непрерывность функцийПределы и непрерывность функций
5,0058
2023-06-162025-04-12СтудИзба
ДЗ 1.2: Пределы и непрерывность функций вариант 10
-66%
Описание
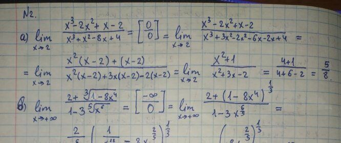
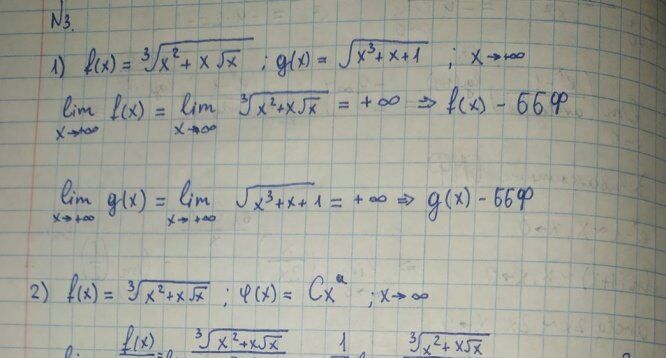
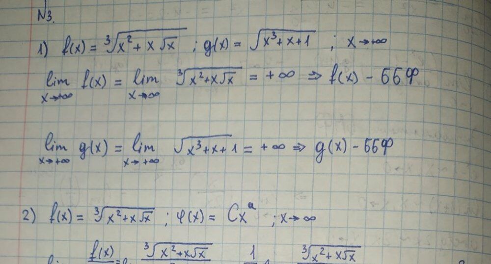
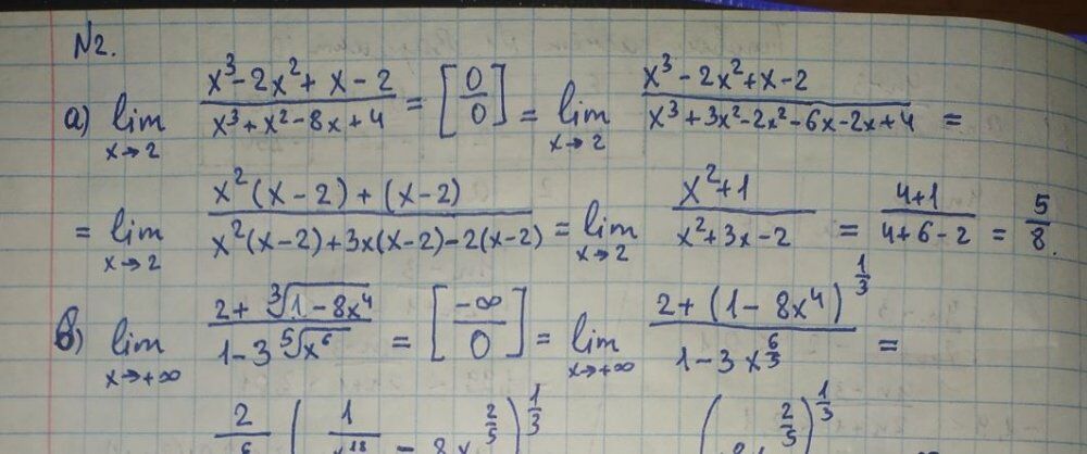
Вариант 10 - ДЗ №2 - Пределы и непрерывность функций - МТ, Э, РК, АК, ФН-1
Зачтено на максимальный балл






Характеристики домашнего задания
Предмет
Учебное заведение
Семестр
Номер задания
Вариант
Просмотров
226
Размер
4,22 Mb
Список файлов
Вариант 10 - ДЗ №2 - Пределы и непрерывность функций - МТ, Э, РК, АК, ФН-1, +.pdf

Друзья, спасибо за доверие! Если вам понравилась работа – поставьте 5⭐ и напишите отзыв. Это поможет другим студентам, а мне даст силы делать ещё больше качественных материалов для вас 🔥