Для студентов МГТУ им. Н.Э.Баумана по предмету Математический анализЭлементарные функции и их графикиЭлементарные функции и их графики
4,90547093
2023-03-012025-04-09СтудИзба
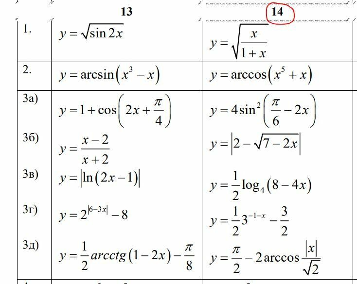
ДЗ 1.1: Элементарные функции и их графики вариант 14
-66%
Описание
Вариант 14 - ДЗ №1 - Элементарный график и функций - СМ,ФН,РК4,ФН2
Зачтено на максимальный балл 💥 💥 💥
Спасибо за покупку 🥰🥰🥰




Файлы условия, демо
Характеристики домашнего задания
Предмет
Учебное заведение
Семестр
Номер задания
Вариант
Просмотров
128
Качество
Фото рукописных листов
Размер
8,45 Mb
Список файлов
Capture.JPG
Capture1.JPG
Вариант 14 - ДЗ №1 - Элементарные функции и их графики - СМ.docx
Вариант 14 - ДЗ №1 - Элементарные функции и их графики - СМ.pdf

Друзья, спасибо за доверие! Если вам понравилась работа – поставьте 5⭐ и напишите отзыв. Это поможет другим студентам, а мне даст силы делать ещё больше качественных материалов для вас 🔥