Для студентов МГТУ им. Н.Э.Баумана по предмету Математический анализЭлементарные функции и их графикиЭлементарные функции и их графики
5,0052
2023-09-132025-04-09СтудИзба
Вариант 14 - ДЗ №1 "Элементарные функции и их графики"
ДЗ 1.1: Элементарные функции и их графики вариант 14
-43%
Описание
Типовой расчет по математическому анализу №1 "Элементарные функции и их графики", 3 задачи, зачтено
Условие:
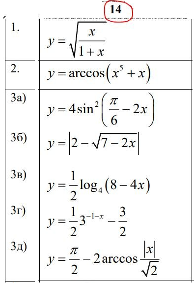
Задача 1:
Задача 2:
Задача 3:
Показать/скрыть дополнительное описание
Условие:








Домашнее задание по матан МГТУ 1 семестр типовик, пределы, исследование функций, дифференциальное.
Характеристики домашнего задания
Предмет
Учебное заведение
Семестр
Номер задания
Вариант
Просмотров
32
Качество
Фото рукописных листов
Размер
1,76 Mb
Список файлов
Вариант 14 ЭФ 643.pdf

Спасибо за покупку! Я буду очень рад, если поставишь справедливую оценку купленному файлу :3 Ищи больше работ в моём профиле, там много нужного тебе!