Для студентов НИУ «МЭИ» по предмету Математический анализ"Ряды""Ряды"
4,78522332
2022-12-232022-12-23СтудИзба
ДЗ 2: "Ряды" вариант 11
Описание
Задача 10. Найти область сходимости функционального ряда.
Задача 11. Найти область сходимости степенного ряда.
Задача 12. Найти область сходимости функционального ряда.
Задача 13. Исследовать функциональный ряд на равномерную сходимость на множестве E.
Задача 14. Вычислить сумму функционального ряда.
Задача 15. Разложить в ряд Маклорена функцию f ( x ). Указать область сходимости полученного ряда.
Задача 16. Вычислить приближённо значение интеграла с точностью ε = 10-3
Задача 17. Разложить функцию f ( x ) в ряд Фурье. Построить график функций f(x), S5(x), S20(x), S100(x).

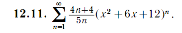
Задача 11. Найти область сходимости степенного ряда.

Задача 12. Найти область сходимости функционального ряда.

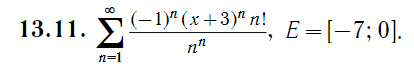
Задача 13. Исследовать функциональный ряд на равномерную сходимость на множестве E.

Задача 14. Вычислить сумму функционального ряда.

Задача 15. Разложить в ряд Маклорена функцию f ( x ). Указать область сходимости полученного ряда.


Задача 17. Разложить функцию f ( x ) в ряд Фурье. Построить график функций f(x), S5(x), S20(x), S100(x).

Характеристики домашнего задания
Предмет
Учебное заведение
Семестр
Номер задания
Вариант
Просмотров
36
Качество
Скан рукописных листов
Размер
9,72 Mb
Список файлов
Ряды к 14 декабря.doc

Зарабатывай на студизбе! Просто выкладывай то, что так и так делаешь для своей учёбы: ДЗ, шпаргалки, решённые задачи и всё, что тебе пригодилось.
Начать зарабатывать
Начать зарабатывать