Для студентов НИУ «МЭИ» по предмету Математический анализНайти область сходимости функционального ряда.Найти область сходимости функционального ряда.
4,78522334
2022-12-232024-11-04СтудИзба
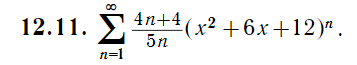
Задача 12: Найти область сходимости функционального ряда. вариант 11
Описание
Задача 12. Найти область сходимости функционального ряда.
![]()

Характеристики решённой задачи
Предмет
Учебное заведение
Семестр
Номер задания
Вариант
Просмотров
5
Качество
Скан рукописных листов
Размер
295,63 Kb
Список файлов
12.PNG

Зарабатывай на студизбе! Просто выкладывай то, что так и так делаешь для своей учёбы: ДЗ, шпаргалки, решённые задачи и всё, что тебе пригодилось.
Начать зарабатывать
Начать зарабатывать