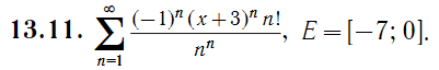
Для студентов НИУ «МЭИ» по предмету Математический анализИсследовать функциональный ряд на равномерную сходимость на множестве E.Исследовать функциональный ряд на равномерную сходимость на множестве E.
4,78522238
2022-12-232024-11-04СтудИзба
Задача 13: Исследовать функциональный ряд на равномерную сходимость на множестве E. вариант 11
Описание
Задача 13. Исследовать функциональный ряд на равномерную сходимость на множестве E.
![]()

Характеристики решённой задачи
Предмет
Учебное заведение
Семестр
Номер задания
Вариант
Просмотров
5
Качество
Скан рукописных листов
Размер
500,99 Kb
Список файлов
13.PNG

Зарабатывай на студизбе! Просто выкладывай то, что так и так делаешь для своей учёбы: ДЗ, шпаргалки, решённые задачи и всё, что тебе пригодилось.
Начать зарабатывать
Начать зарабатывать