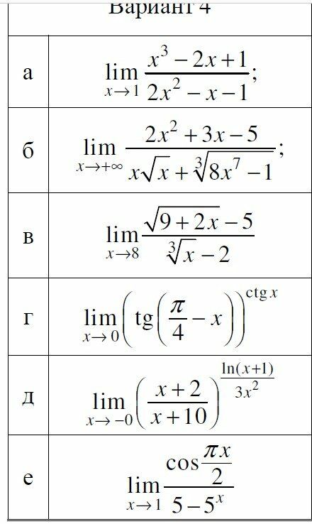
ДЗ 1.2: Пределы и непрерывность функций вариант 4
Описание
В файле выполненное и зачтенное преподавателем ДЗ-2 по курсу математический анализ для 4 варианта факультетов ФН СМ РК. Понятный почерк и хорошие фотографии. Условие ДЗ ниже
![]()
Характеристики домашнего задания
Предмет
Учебное заведение
Семестр
Номер задания
Вариант
Просмотров
19
Качество
Фото рукописных листов
Размер
14,99 Mb
Список файлов
1.jpg
2.jpg
3.jpg
4.jpg
5.jpg
6.jpg
7.jpg
8.jpg
9.jpg
10.jpg
11.jpg
12.jpg
13.jpg
14.jpg
15.jpg
16.jpg
Комментарии
Нет комментариев
Стань первым, кто что-нибудь напишет!
МГТУ им. Н.Э.Баумана
Freebie_bauman
















