Для студентов МГТУ им. Н.Э.Баумана по предмету Математический анализЭлементарные функции и их графикиЭлементарные функции и их графики
5,00510
2021-09-112025-04-10СтудИзба
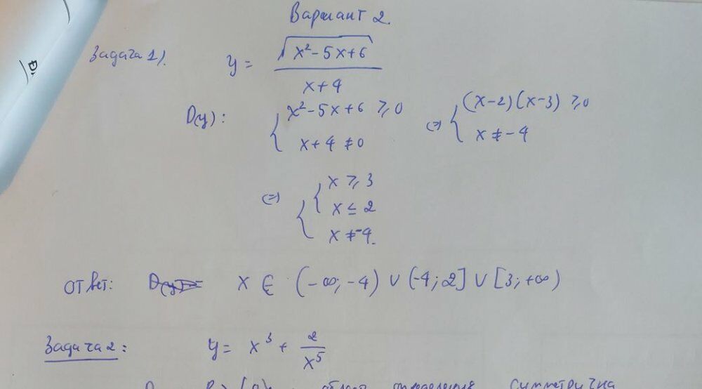
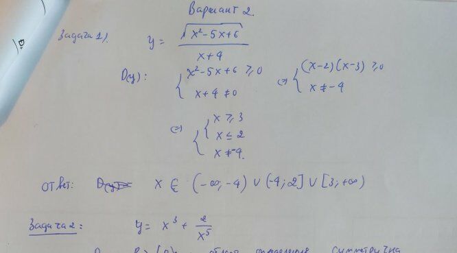
ДЗ 1.1: Элементарные функции и их графики вариант 2
-66%
Описание
Характеристики домашнего задания
Предмет
Учебное заведение
Семестр
Номер задания
Вариант
Теги
Просмотров
445
Размер
18,43 Mb
Список файлов
Домашнее задания №1 Вариант 2
20210911_145904.jpg
20210911_145910.jpg
20210911_145916.jpg
20210911_145921.jpg
20210911_145929.jpg

Друзья, спасибо за доверие! Если вам понравилась работа – поставьте 5⭐ и напишите отзыв. Это поможет другим студентам, а мне даст силы делать ещё больше качественных материалов для вас 🔥