Для студентов ЮУрГУ по предмету Линейная алгебра и аналитическая геометрияЗадачи по теме 2 Определители. Задачи 14-19 для студентов технических направлений ЮУрГУ, 1 семестр.Задачи по теме 2 Определители. Задачи 14-19 для студентов технических направлений ЮУрГУ, 1 семестр.
5,0053
2025-09-282025-09-28СтудИзба
Домашнее задание по "Алгебре и геометрии" по теме 2 "Определители" Задачи 14-19 в pdf формате для студентов технических направлений ЮУРГУ, 1 семестр
ДЗ: Задачи по теме 2 Определители. Задачи 14-19 для студентов технических направлений ЮУрГУ, 1 семестр.
Описание
Домашнее задание.
Задачи по теме 2 "Определители. Задачи 14-19" для студентов технических направлений ЮУрГУ, 1 семестр.
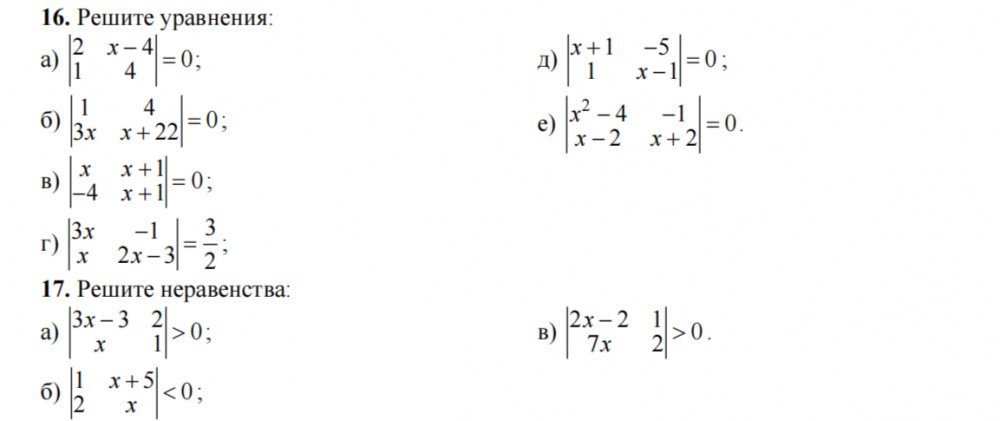
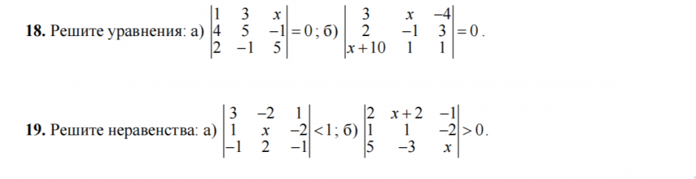
В задачах рассматриваются понятия Определитель, свойства определителей, теорема Лапласа о разложении определителя по строке (столбцу), применение минора и алгебраического дополнения.
Показать/скрыть дополнительное описание
Задачи по теме 2 "Определители. Задачи 14-19" для студентов технических направлений ЮУрГУ, 1 семестр.
В задачах рассматриваются понятия Определитель, свойства определителей, теорема Лапласа о разложении определителя по строке (столбцу), применение минора и алгебраического дополнения.
Показать/скрыть дополнительное описаниеалгебра, определитель, свойства определителей, теорема Лапласа, разложение определителя по строке (столбцу), минор, алгебраическое дополнение.
Файлы условия, демо
Характеристики домашнего задания
Учебное заведение
Семестр
Просмотров
18
Качество
Идеальное компьютерное
Размер
368,83 Kb
Список файлов
Тема 2. Определители. Задачи 14 - 19..pdf
ЮУрГУ

















