Для студентов ЮУрГУ по предмету Линейная алгебра и аналитическая геометрияМатрицы и действия над матрицами.Матрицы и действия над матрицами.
5,0053
2025-09-152025-09-15СтудИзба
Домашнее задание по "Алгебре и геометрии" по теме 1 "Матрицы. Действия над матрицами" Задачи 1-13 в pdf формате для студентов технических направлений ЮУРГУ
ДЗ: Матрицы и действия над матрицами.
Описание
Домашнее задание.
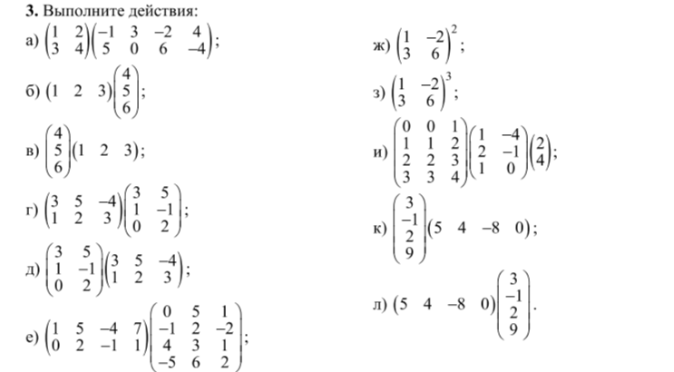
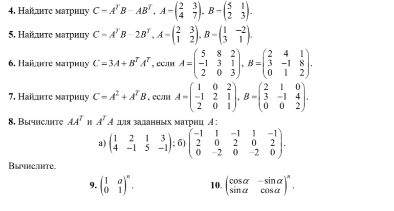
Задачи по теме 1 "Матрицы. Действия над матрицами" для студентов технических направлений ЮУрГУ, 1 семестр.
![]()
Задачи по теме 1 "Матрицы. Действия над матрицами" для студентов технических направлений ЮУрГУ, 1 семестр.

Файлы условия, демо
Характеристики домашнего задания
Учебное заведение
Семестр
Программы
Просмотров
32
Качество
Идеальное компьютерное
Размер
2,89 Mb
Список файлов
Матрицы и действия над матрицами Задачи 1 - 13.v2.pdf
Отзывы
Отзыв
Спаситель! Когда задание выдали даже не знал с чего начать! Спасибо!
ЮУрГУ
















