Для студентов МГТУ им. Н.Э.Баумана по предмету Линейная алгебра и аналитическая геометрияКривые и поверхности второго порядкаКривые и поверхности второго порядка
4,90546578
2025-03-052025-05-22СтудИзба
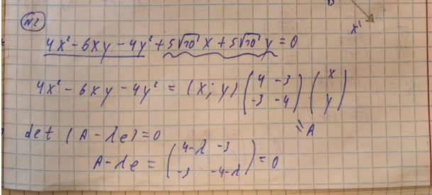
ДЗ 1.2: Кривые и поверхности второго порядка вариант 8
-66%
Описание
Вариант 8 - ДЗ №1.2 - Кривые и поверхности второго порядка
Зачтено на максимальный балл 💥 💥 💥
Спасибо за покупку 🥰🥰🥰





Характеристики домашнего задания
Учебное заведение
Семестр
Номер задания
Вариант
Просмотров
12
Размер
9,02 Mb
Список файлов
Вариант 8 - ДЗ №2 - Кривые и поверхности второго порядка - МТ, СМ.docx

Друзья, спасибо за доверие! Если вам понравилась работа – поставьте 5⭐ и напишите отзыв. Это поможет другим студентам, а мне даст силы делать ещё больше качественных материалов для вас 🔥