Для студентов МГТУ им. Н.Э.Баумана по предмету Линейная алгебра и аналитическая геометрияЛинейная алгебраЛинейная алгебра
5,0058
2025-03-012025-05-22СтудИзба
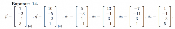
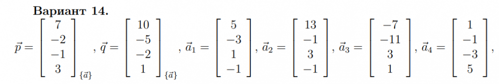
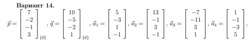
ДЗ 1.1: Линейная алгебра вариант 14
-66%
Описание
Вариант 14 - ДЗ №1 - Линейная алгебра - факультет СМ, спец. РК4
Зачтено на максимальный балл 💥 💥 💥
Спасибо за покупку 🥰🥰🥰
Пример решения



Характеристики домашнего задания
Учебное заведение
Семестр
Номер задания
Вариант
Просмотров
92
Размер
3,66 Mb
Список файлов
Вариант 14 - ДЗ №1 - Линейная алгебра - факультет СМ, спец. РК4.docx

Друзья, спасибо за доверие! Если вам понравилась работа – поставьте 5⭐ и напишите отзыв. Это поможет другим студентам, а мне даст силы делать ещё больше качественных материалов для вас 🔥