Для студентов МГТУ им. Н.Э.Баумана по предмету Линейная алгебра и аналитическая геометрияВекторная алгебра и аналитическая геометрияВекторная алгебра и аналитическая геометрия
5,0052
2023-11-132025-04-30СтудИзба
ДЗ 1: Векторная алгебра и аналитическая геометрия вариант 8
-66%
Описание
Вариант 8 - ДЗ №1 - Векторная алгебра и аналитическая геометрия - ИУ,РЛ,БМТ,ФН12
Зачтено на максимальный балл 💥 💥 💥
Спасибо за покупку 🥰🥰🥰
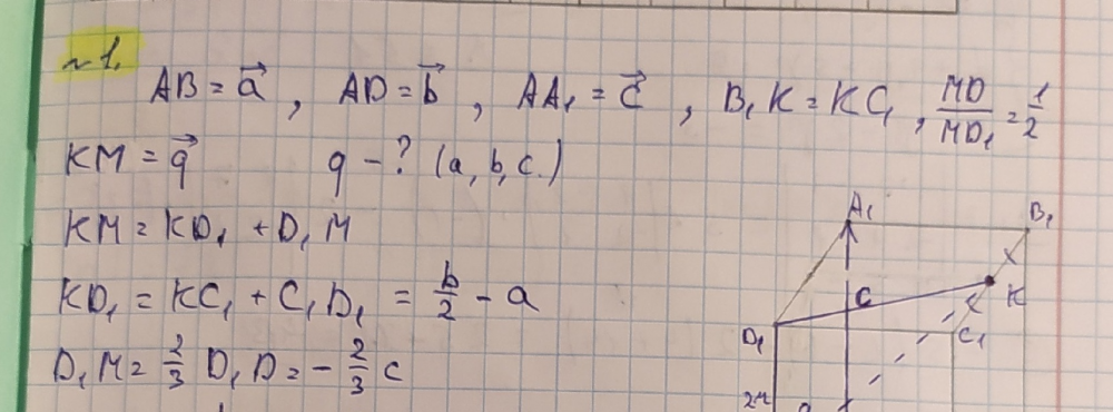
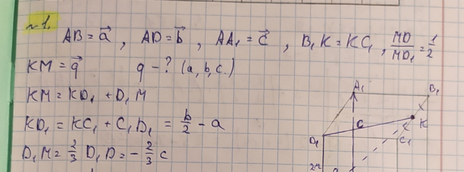
Пример решения:Задача 1

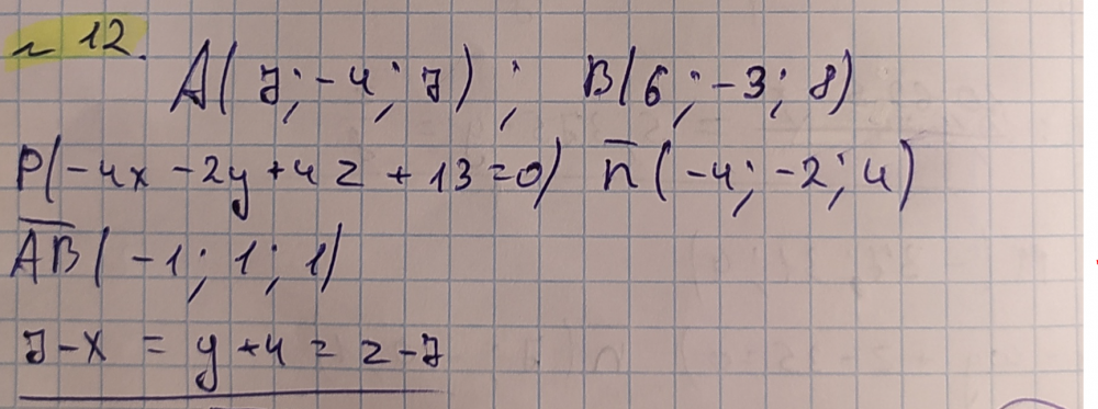
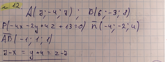
Задача 12

Характеристики домашнего задания
Учебное заведение
Семестр
Номер задания
Вариант
Теги
Просмотров
46
Размер
2,28 Mb
Список файлов
Вариант 8 - ДЗ №1 - Векторная алгебра и аналитическая геометрия +++.pdf

Друзья, спасибо за доверие! Если вам понравилась работа – поставьте 5⭐ и напишите отзыв. Это поможет другим студентам, а мне даст силы делать ещё больше качественных материалов для вас 🔥