Для студентов МГТУ им. Н.Э.Баумана по предмету Линейная алгебра и аналитическая геометрияКривые и поверхности второго порядкаКривые и поверхности второго порядка
5,0058
2023-04-142025-05-22СтудИзба
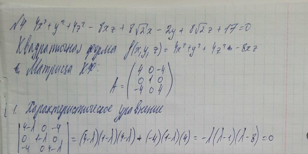
ДЗ 1.2: Кривые и поверхности второго порядка вариант 5
-66%
Описание
Вариант 5 - ДЗ №1 - Кривые и поверхности второго порядка
Зачтено на максимальный балл 💥 💥 💥
Спасибо за покупку 🥰🥰🥰




Характеристики домашнего задания
Учебное заведение
Семестр
Номер задания
Вариант
Просмотров
131
Размер
10,19 Mb
Список файлов
Вариант 5 - Задача 4.pdf
Вариант 5 - Задача 1-3.pdf

Друзья, спасибо за доверие! Если вам понравилась работа – поставьте 5⭐ и напишите отзыв. Это поможет другим студентам, а мне даст силы делать ещё больше качественных материалов для вас 🔥