Для студентов МГТУ им. Н.Э.Баумана по предмету Линейная алгебра и аналитическая геометрияКривые и поверхности второго порядкаКривые и поверхности второго порядка
5,00513
2022-04-152025-06-23СтудИзба
Вариант 21 - ДЗ №1 - Часть 2 - "Кривые и поверхности второго порядка" - 4 Задачи
ДЗ 1.2: Кривые и поверхности второго порядка вариант 21
-32%
Описание
Первый типовой расчет по линейной алгебре, 4 задачи, зачтено на максимальный балл
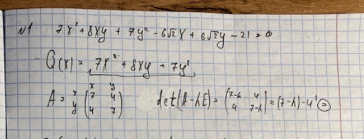
Задача 1:
Задача 2:
Задача 3:
Задача 4:
Показать/скрыть дополнительное описание
Задача 1:




Типовой расчет по линейной алгебре МГТУ.
Характеристики домашнего задания
Учебное заведение
Семестр
Номер задания
Вариант
Просмотров
147
Качество
Фото рукописных листов
Размер
3,49 Mb
Список файлов
Вариант 21 Линал 1 30.docx

Спасибо за покупку! Я буду очень рад, если поставишь справедливую оценку купленному файлу :3 Ищи больше работ в моём профиле, там много нужного тебе!