Для студентов МГТУ им. Н.Э.Баумана по предмету Интегралы и дифференциальные уравнения (ИиДУ)Приложение определенного интегралаПриложение определенного интеграла
5,00531
2021-04-082021-04-08СтудИзба
ДЗ 1: Приложение определенного интеграла вариант 21
Описание
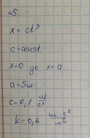
В файле 6 зачтенных преподавателем задач. Условие задач ниже.
![]()







Характеристики домашнего задания
Учебное заведение
Семестр
Номер задания
Вариант
Просмотров
273
Качество
Фото рукописных листов
Размер
14,26 Mb