Для студентов МГТУ им. Н.Э.Баумана по предмету Линейная алгебра и аналитическая геометрияЛинейная алгебраЛинейная алгебра
5,00513
2023-06-122025-05-22СтудИзба
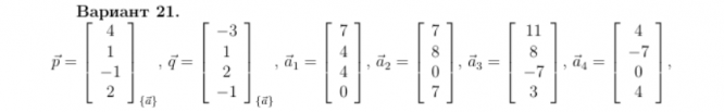
ДЗ 1.1: Линейная алгебра вариант 21
Описание
Файлы условия, демо
Характеристики домашнего задания
Учебное заведение
Семестр
Номер задания
Вариант
Просмотров
175
Качество
Скан рукописных листов
Размер
2,82 Mb
Список файлов
LinAl_Pt1.pdf
Комментарии
Нет комментариев
Стань первым, кто что-нибудь напишет!
МГТУ им. Н.Э.Баумана



















