Для студентов МГТУ им. Н.Э.Баумана по предмету Линейная алгебра и аналитическая геометрияКривые второго порядкаКривые второго порядка
4,92518
2022-03-242025-05-10СтудИзба
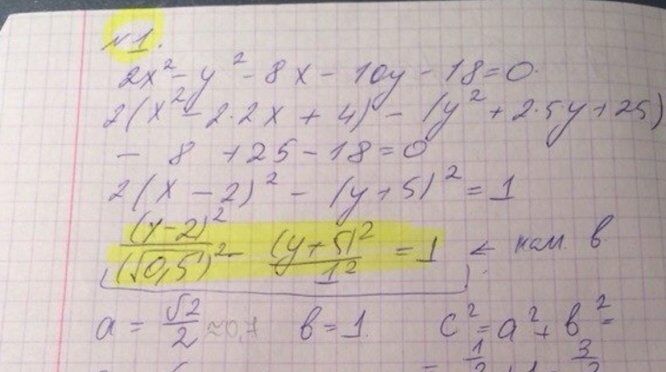
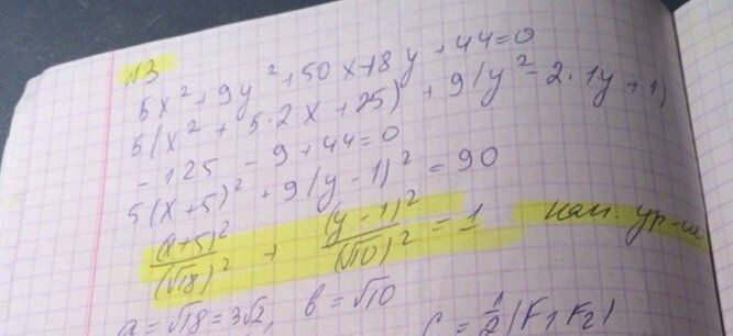
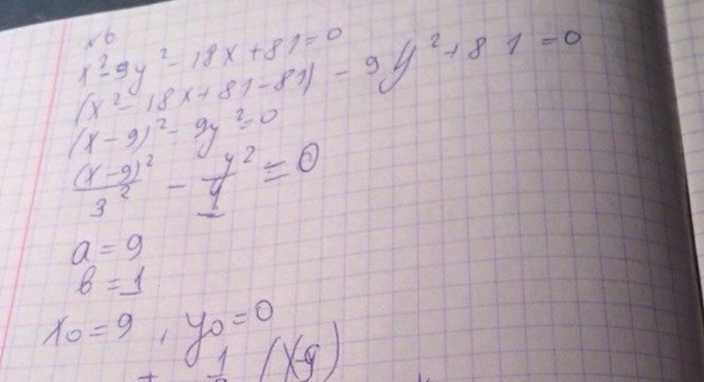
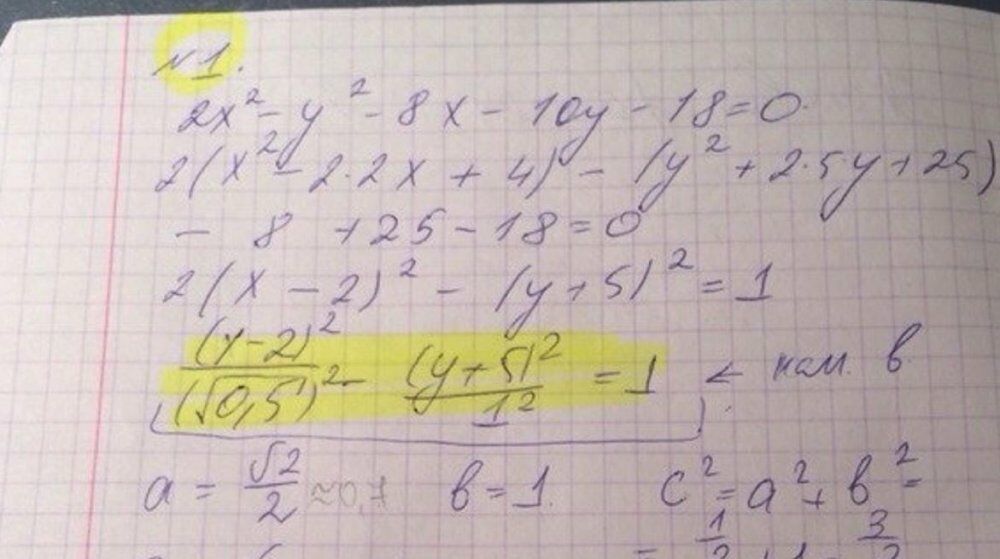
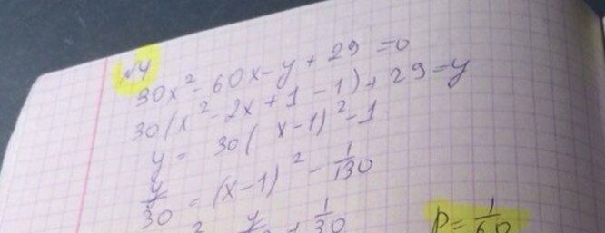
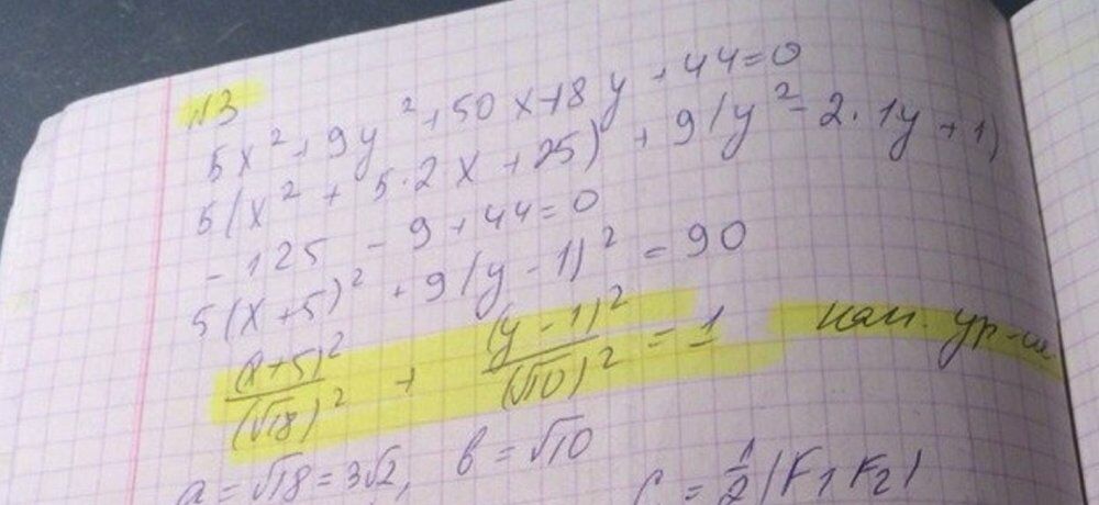
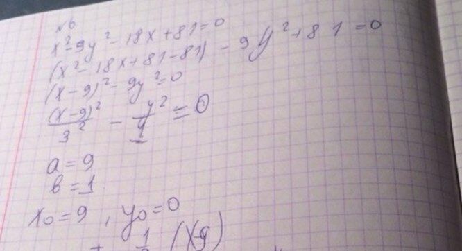
ДЗ 2.1: Кривые второго порядка вариант 13
-66%
Описание
Файлы условия, демо
Характеристики домашнего задания
Учебное заведение
Семестр
Номер задания
Вариант
Просмотров
479
Размер
1,84 Mb
Список файлов
Вариант 13 - ДЗ №2 - Кривые второго порядка
1.jpg
2.jpg
3.jpg
4.jpg
5.jpg
6.jpg
7.jpg
8.jpg
9.jpg
10.jpg

Друзья, спасибо за доверие! Если вам понравилась работа – поставьте 5⭐ и напишите отзыв. Это поможет другим студентам, а мне даст силы делать ещё больше качественных материалов для вас 🔥