Для студентов МГТУ им. Н.Э.Баумана по предмету Линейная алгебра и аналитическая геометрияФункции нескольких переменныхФункции нескольких переменных
4,875462
2021-03-292025-05-22СтудИзба
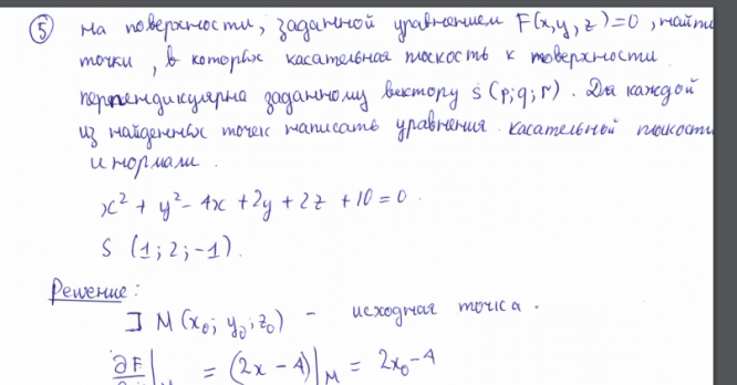
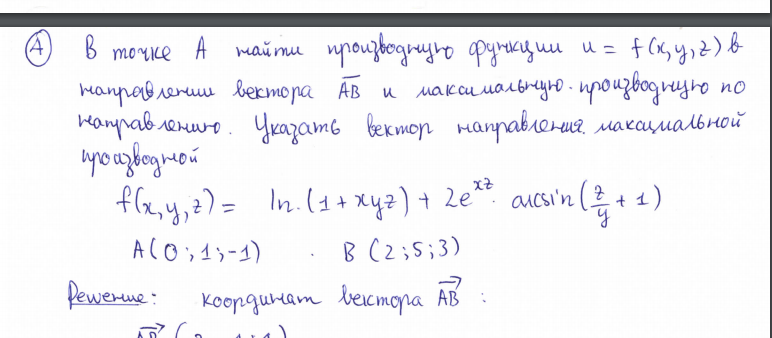
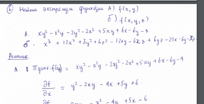
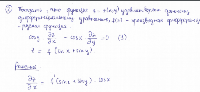
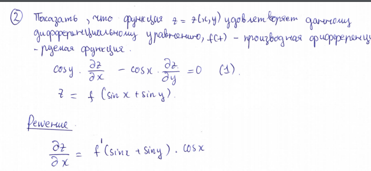
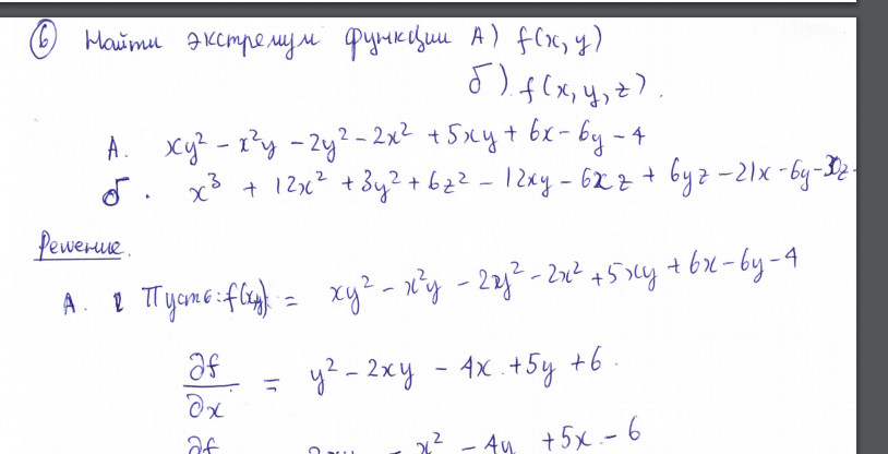
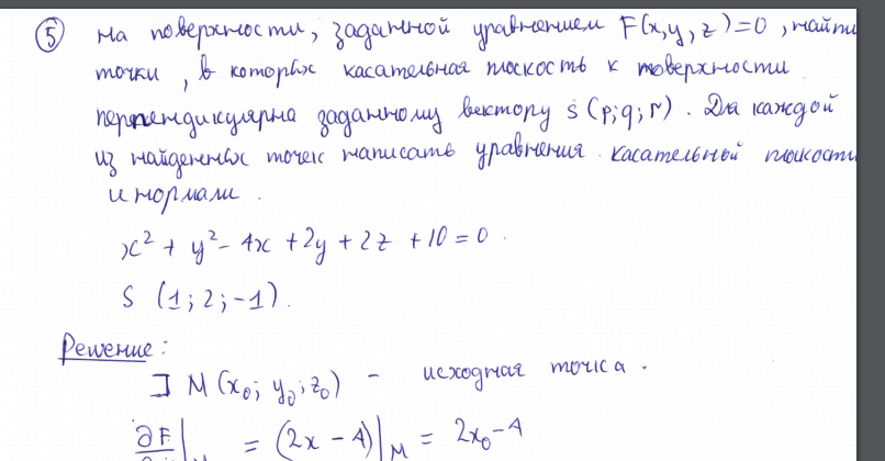
ДЗ 2: Функции нескольких переменных вариант 19
Бестселлер
-66%
Описание
Вариант 19 - ДЗ №2 - Функции нескольких переменных (ФНП)
Зачтено на максимальный балл 💥 💥 💥
Спасибо за покупку 🥰🥰🥰






Характеристики домашнего задания
Учебное заведение
Семестр
Номер задания
Вариант
Просмотров
952
Размер
2,3 Mb
Список файлов
Домашнее задание вариант 19 (Проверено 2021г).pdf

Друзья, спасибо за доверие! Если вам понравилась работа – поставьте 5⭐ и напишите отзыв. Это поможет другим студентам, а мне даст силы делать ещё больше качественных материалов для вас 🔥
Комментарии

Отзыв
В итоге препод придрался к паре заданий, но в целом норм

4-ый номер не зачли