Для студентов МГТУ им. Н.Э.Баумана по предмету Линейная алгебра и аналитическая геометрияКривые и поверхности второго порядкаКривые и поверхности второго порядка
5,0054
2021-01-312025-05-23СтудИзба
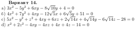
ДЗ 1.2: Кривые и поверхности второго порядка вариант 14
Описание

Характеристики домашнего задания
Учебное заведение
Семестр
Номер задания
Вариант
Просмотров
85
Размер
1,02 Mb
Список файлов
14вариант.pdf
Комментарии
Нет комментариев
Стань первым, кто что-нибудь напишет!
МГТУ им. Н.Э.Баумана
OldmanUFO


















