Для студентов МГТУ им. Н.Э.Баумана по предмету Кратные интегралы и рядыЧисловые рядыЧисловые ряды
5,0058
2023-12-032024-09-04СтудИзба
Вариант 4 - ДЗ №3 - "Числовые ряды" - 5 задач
ДЗ 3.1: Числовые ряды вариант 4
-43%
Описание
Типовой расчет №3 по математическому анализу, "Числовые ряды", зачтено
Условие:
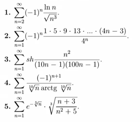
Задача 1:
Задача 2:
Задача 3:
Задача 4:
Задача 5:
Показать/скрыть дополнительное описание
Условие:






Домашнее задание по матан МГТУ 3 семестр типовик теория поля криволинейные кратные поверхностные интегралы.
Характеристики домашнего задания
Предмет
Учебное заведение
Семестр
Номер задания
Вариант
Просмотров
108
Качество
Фото рукописных листов
Размер
2,07 Mb
Список файлов
Вариант 4 Ряды 466.pdf

Спасибо за покупку! Я буду очень рад, если поставишь справедливую оценку купленному файлу :3 Ищи больше работ в моём профиле, там много нужного тебе!