Для студентов МГТУ им. Н.Э.Баумана по предмету Кратные интегралы и рядыЧисловые рядыЧисловые ряды
5,0052
2023-08-242024-09-15СтудИзба
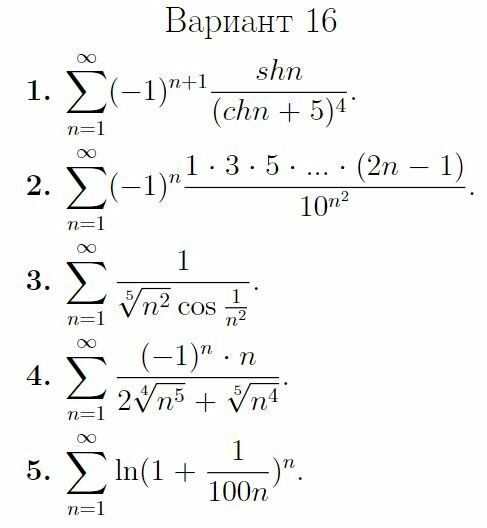
ДЗ 3.1: Числовые ряды вариант 16
-30%
Описание
ПОЛНОЕ РЕШЕНИЕ (7 ЗАДАЧ) ДЗ №3 - "РЯДЫ" (УСЛОВИЕ ВЗЯЛ НА УЛК)
- Задачи 1-5. Исследовать сходимость данных числовых рядов
- Задачи 6-7. Степенные ряды


ДЕМО







Файлы условия, демо
Характеристики домашнего задания
Предмет
Учебное заведение
Семестр
Номер задания
Вариант
Программы
Просмотров
24
Качество
Фото рукописных листов
Размер
7,79 Mb
Список файлов
1.jpg
2.jpg
3.jpg
4.jpg
5.jpg

Если работа Вам была полезна, Пожалуйста, потратьте несколько секунд, чтобы оставить нам 5 ЗВЁЗД и положительный отзывы. Мы Вам глубоко признателены!