Для студентов МГТУ им. Н.Э.Баумана по предмету Кратные интегралы и рядыТеория поляТеория поля
4,90547469
2022-11-182024-09-03СтудИзба
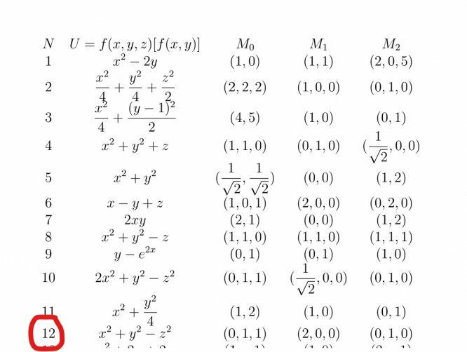
ДЗ 2: Теория поля вариант 12
-66%
Описание
Вариант 12 - ДЗ №2 - Теория поля - СМ,ФН,РК4,ФН2
Зачтено на максимальный балл 💥 💥 💥
Спасибо за покупку 🥰🥰 🥰
Пример решения:





Файлы условия, демо
Характеристики домашнего задания
Предмет
Учебное заведение
Семестр
Номер задания
Вариант
Просмотров
255
Размер
3,23 Mb
Список файлов
Вариант 12 - ДЗ №2 - Теория поля -.pdf

Друзья, спасибо за доверие! Если вам понравилась работа – поставьте 5⭐ и напишите отзыв. Это поможет другим студентам, а мне даст силы делать ещё больше качественных материалов для вас 🔥