Для студентов МГТУ им. Н.Э.Баумана по предмету Кратные интегралы и рядыКратные и криволинейные интегралыКратные и криволинейные интегралы
4,97514337
2022-10-172024-09-04СтудИзба
Вариант 8 - Дз-1 "Кратные и криволинейные интегралы"
ДЗ 1: Кратные и криволинейные интегралы вариант 8
-43%
Описание
Типовой расчет №1 "Кратные интегралы", 7 задач, зачтено на максимум
Условие:
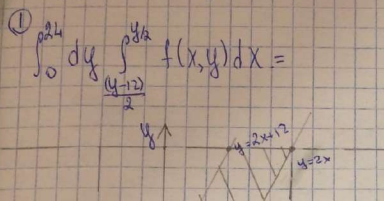
Задача 1:
Задача 2:
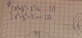
Задача 3:
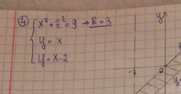
Задача 4:
Задача 5:
Задача 6:
Задача 7:
Показать/скрыть дополнительное описание
Условие:








Типовой расчет по математическому анализу МГТУ 3 семестр домашнее задание кратные криволинейные поверхностные интегралы теория поля ряды.
Характеристики домашнего задания
Предмет
Учебное заведение
Семестр
Номер задания
Вариант
Просмотров
34
Качество
Фото рукописных листов
Размер
2,64 Mb
Список файлов
1.pdf
2.pdf
3.pdf
4.pdf
5-7.docx

Спасибо за покупку! Я буду очень рад, если поставишь справедливую оценку купленному файлу :3 Ищи больше работ в моём профиле, там много нужного тебе!