Для студентов МГТУ им. Н.Э.Баумана по предмету Кратные интегралы и рядыЧисловые рядыЧисловые ряды
4,97514425
2022-10-162024-09-04СтудИзба
Вариант 19 - ДЗ №3 - "Числовые ряды" - 5 задач
ДЗ 3.1: Числовые ряды вариант 19
-43%
Описание
Типовой расчет №3 по математическому анализу, "Числовые ряды", зачтено
Задача 1:
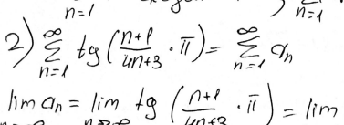
Задача 2:
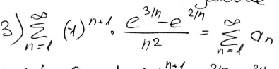
Задача 3:
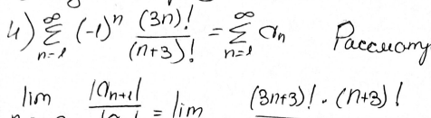
Задача 4:
Задача 5:
Показать/скрыть дополнительное описание
Задача 1:





Домашнее задание по матан МГТУ 3 семестр типовик теория поля криволинейные кратные поверхностные интегралы.
Характеристики домашнего задания
Предмет
Учебное заведение
Семестр
Номер задания
Вариант
Просмотров
36
Качество
Фото рукописных листов
Размер
1,11 Mb
Список файлов
Вариант 3 Матан ДЗ-1.pdf

Спасибо за покупку! Я буду очень рад, если поставишь справедливую оценку купленному файлу :3 Ищи больше работ в моём профиле, там много нужного тебе!