Для студентов МГТУ им. Н.Э.Баумана по предмету Кратные интегралы и рядыЧисловые рядыЧисловые ряды
5,0053
2021-12-182024-09-04СтудИзба
ДЗ 3.1: Числовые ряды вариант 3
-43%
Описание
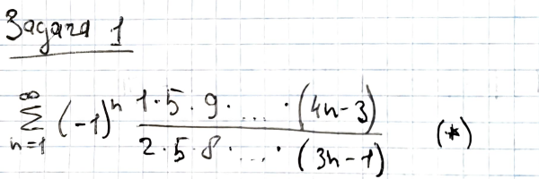
Типовой расчет №3 "Ряды", 5 задач, зачтено на максимум
![]()




Характеристики домашнего задания
Предмет
Учебное заведение
Семестр
Номер задания
Вариант
Просмотров
59
Качество
Скан рукописных листов
Размер
1,98 Mb
Список файлов
Вариант 3 Ряды Часть 1 99.pdf

Спасибо за покупку! Я буду очень рад, если поставишь справедливую оценку купленному файлу :3 Ищи больше работ в моём профиле, там много нужного тебе!