Для студентов МГТУ им. Н.Э.Баумана по предмету Кратные интегралы и рядыЧисловые рядыЧисловые ряды
5,00518
2021-09-082024-09-03СтудИзба
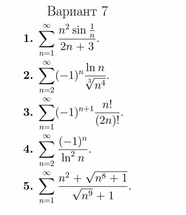
ДЗ 3.1: Числовые ряды вариант 7
-66%
Описание
Вариант 7 - ДЗ №3 - Числовые ряды - СМ,ФН,РК4,ФН2
Зачтено на максимальный балл 💥 💥 💥
Спасибо за покупку 🥰🥰 🥰
Пример решения:

Характеристики домашнего задания
Предмет
Учебное заведение
Семестр
Номер задания
Вариант
Просмотров
128
Размер
3,68 Mb
Список файлов
Вариант 7 - ДЗ №3 - Числовые ряды.docx

Друзья, спасибо за доверие! Если вам понравилась работа – поставьте 5⭐ и напишите отзыв. Это поможет другим студентам, а мне даст силы делать ещё больше качественных материалов для вас 🔥