Для студентов МГТУ им. Н.Э.Баумана по предмету Кратные интегралы и рядыТеория поляТеория поля
5,00510
2021-03-282024-09-03СтудИзба
ДЗ 3: Теория поля вариант 23
-66%
Описание
Вариант 23 - ДЗ №3 - Теория поля - МТ,РК,ИБМ,ЮР,Э5,ФН1
Зачтено на максимальный балл 💥 💥 💥
Спасибо за покупку 🥰🥰 🥰
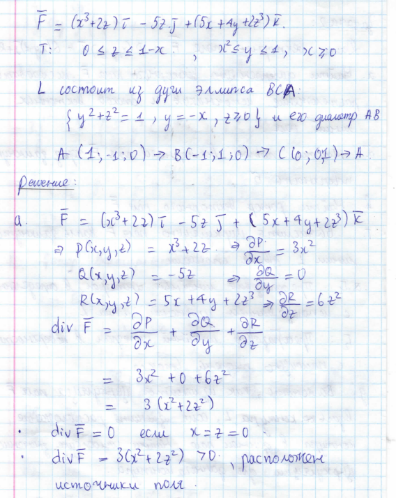
Пример решения:





Характеристики домашнего задания
Предмет
Учебное заведение
Семестр
Номер задания
Вариант
Просмотров
292
Размер
3,81 Mb
Список файлов
Вариант 23- ДЗ 2.pdf

Друзья, спасибо за доверие! Если вам понравилась работа – поставьте 5⭐ и напишите отзыв. Это поможет другим студентам, а мне даст силы делать ещё больше качественных материалов для вас 🔥