Для студентов МГТУ им. Н.Э.Баумана по предмету Кратные интегралы и рядыЧисловые рядыЧисловые ряды
4,22519
2020-12-122020-12-12СтудИзба
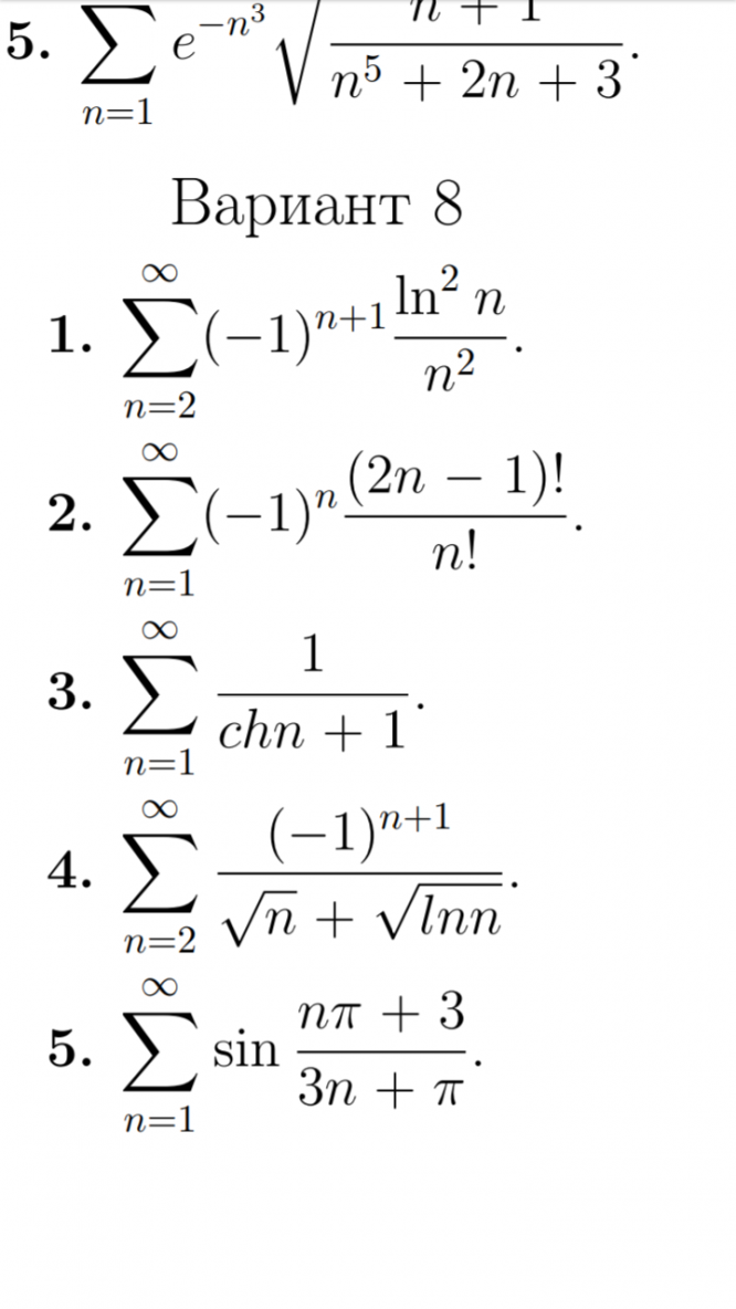
ДЗ 3.1: Числовые ряды вариант 8
Описание
Характеристики домашнего задания
Предмет
Учебное заведение
Семестр
Номер задания
Вариант
Просмотров
162
Размер
881,17 Kb
Список файлов
8 вариант
Исправленная 2 задача.pdf
Исправленная 4 задача.pdf
Числовые ряды 8 вариант.pdf
OpelBlitz
МГТУ им. Н.Э.Баумана
OpelBlitz


















