Для студентов РХТУ им. Менделеева по предмету Избранные главы органической химииПиридинПиридин
5,00549
2023-04-242023-04-24СтудИзба
Готовое задание по пиридинам по ИГОХ для химиков-магистрантов 1 курса
Вопросы/задания к заданиям: Пиридин
Описание
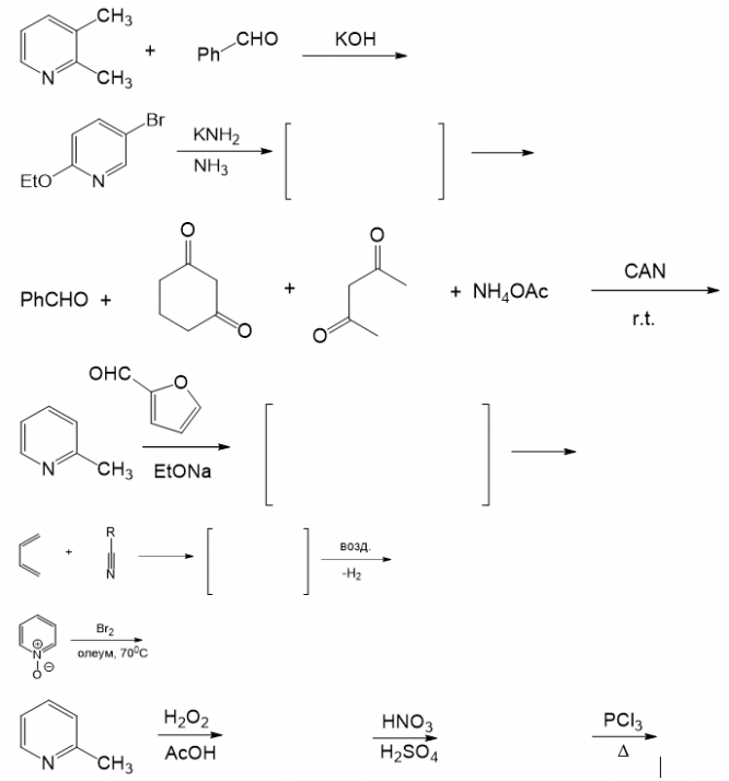
1. Напишите уравнения реакций.
2. Соединение C6H7N дает соли с кислотами, при действии CH3I дает вещество состава C7H10NI, при окислении превращается в a-пиридинкарбоновую кислоту. определите строение вещества C6H7N и напишите для него уравнения перечисленных реакций.
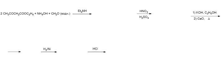
3. Заполните цепочку превращений. Установите строение конечного соединения фтивазид (противотуберкулёзный препарат). Светло-жёлтый или жёлтый мелкокристаллический порошок со слабым запахом ванилина, без вкуса).
Показать/скрыть дополнительное описание
3. Заполните цепочку превращений. Установите строение конечного соединения фтивазид (противотуберкулёзный препарат). Светло-жёлтый или жёлтый мелкокристаллический порошок со слабым запахом ванилина, без вкуса).
Показать/скрыть дополнительное описание
Фтивазид, ванилин.
Файлы условия, демо
Характеристики вопросов/заданий к заданиям
Учебное заведение
Просмотров
3
Качество
Фото рукописных листов
Размер
1,87 Mb
Список файлов
СР(пиридины). ИГОХ.docx
Комментарии
Нет комментариев
Стань первым, кто что-нибудь напишет!
РХТУ им. Менделеева

















