Для студентов МГТУ им. Н.Э.Баумана по предмету Интегралы и дифференциальные уравнения (ИиДУ)Дифференциальные уравнения высших порядковДифференциальные уравнения высших порядков
4,90546822
2023-05-282024-09-03СтудИзба
ДЗ 2: Дифференциальные уравнения высших порядков вариант 10
-66%
Описание
Вариант 10 - ДЗ №2 - Дифференциальные уравнения- ИУ, РЛ, БМТ, ФН12
Зачтено на максимальный балл
Интегралы и дифференциальные уравнения (2-й семестр)
Задача 1 ![]()
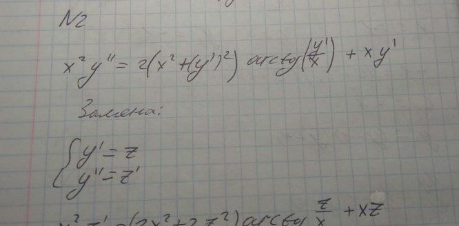
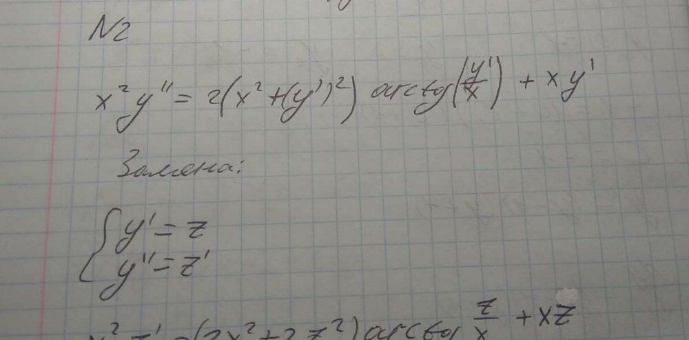
Задача 2 ![]()
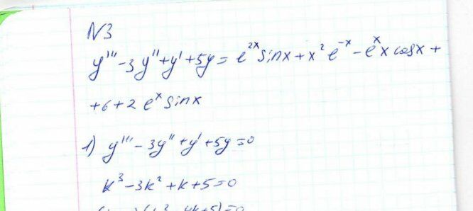
Задача 3 ![]()
Задача 4 ![]()
Задача 5 ![]()
Характеристики домашнего задания
Учебное заведение
Семестр
Номер задания
Вариант
Просмотров
88
Размер
1,24 Mb
Список файлов
Вариант 10 - ДЗ №2 - Дифференциальные уравнения- ИУ, РЛ.pdf

Друзья, спасибо за доверие! Если вам понравилась работа – поставьте 5⭐ и напишите отзыв. Это поможет другим студентам, а мне даст силы делать ещё больше качественных материалов для вас 🔥