Для студентов МГТУ им. Н.Э.Баумана по предмету Интегралы и дифференциальные уравнения (ИиДУ)Дифференциальные уравненияДифференциальные уравнения
5,0053
2023-05-262024-09-03СтудИзба
ДЗ 2: Дифференциальные уравнения вариант 5
-66%
Описание
Вариант 5 - ДЗ №2 - Дифференциальные уравнения - СМ,ФН,РК4,ФН2
Зачтено на максимальный балл 💥 💥 💥
Спасибо за покупку 🥰🥰🥰
Пример решения:
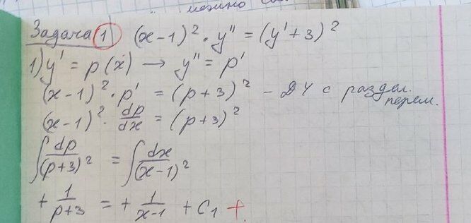
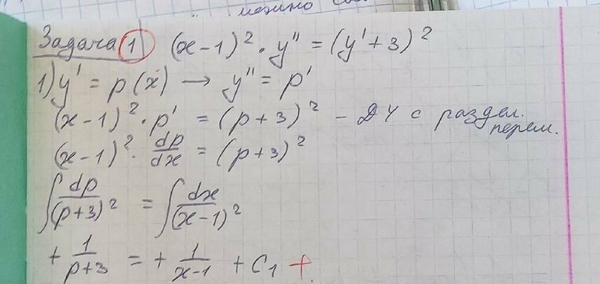
Задача 1 ![]()
Задача 2 ![]()
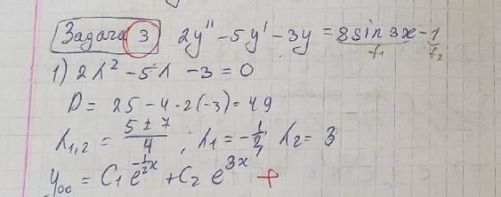
Задача 3 ![]()
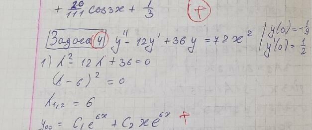
Задача 4 ![]()
Задача 5 ![]()
Характеристики домашнего задания
Учебное заведение
Семестр
Номер задания
Вариант
Просмотров
127
Качество
Фото рукописных листов
Размер
7,41 Mb
Список файлов
Вариант 3 - ДЗ №2 - Дифференциальные уравнения - СМ,ФН,РК4,ФН2+.docx
1.jpg
2.jpg
3.jpg
4.jpg
5.jpg
6.jpg

Друзья, спасибо за доверие! Если вам понравилась работа – поставьте 5⭐ и напишите отзыв. Это поможет другим студентам, а мне даст силы делать ещё больше качественных материалов для вас 🔥