Для студентов МГТУ им. Н.Э.Баумана по предмету Интегралы и дифференциальные уравнения (ИиДУ)Дифференциальные уравнения высших порядковДифференциальные уравнения высших порядков
5,00511
2023-05-232024-09-03СтудИзба
ДЗ 2: Дифференциальные уравнения высших порядков вариант 3
-66%
Описание
Вариант 3 - ДЗ №2 - Дифференциальные уравнения- ИУ, РЛ, БМТ, ФН12
Зачтено на максимальный балл
Интегралы и дифференциальные уравнения (2-й семестр) ![]()
Задача 1 
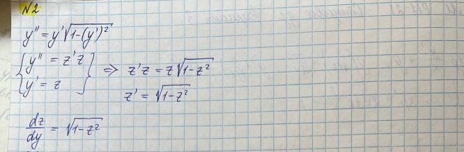
Задача 2

Задача 3

Задача 4

Задача 5

Характеристики домашнего задания
Учебное заведение
Семестр
Номер задания
Вариант
Просмотров
190
Размер
5,15 Mb
Список файлов
Вариант 3 - ДЗ №2 - Дифференциальные уравнения- ИУ, РЛ,.pdf

Друзья, спасибо за доверие! Если вам понравилась работа – поставьте 5⭐ и напишите отзыв. Это поможет другим студентам, а мне даст силы делать ещё больше качественных материалов для вас 🔥