Для студентов МГТУ им. Н.Э.Баумана по предмету Интегралы и дифференциальные уравнения (ИиДУ)Дифференциальные уравненияДифференциальные уравнения
5,0053
2023-05-212024-09-03СтудИзба
ДЗ 2: Дифференциальные уравнения вариант 10
-66%
Описание
Вариант 10 - ДЗ №2 - Дифференциальные уравнения - СМ,ФН,РК4,ФН2,2023г
Зачтено на максимальный балл 💥 💥 💥
Спасибо за покупку 🥰🥰🥰
Задача 1

Задача 2 ![]()
Задача 3 ![]()
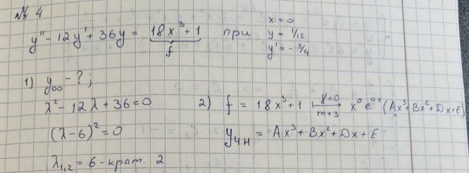
Задача 4 ![]()
Задача 5 ![]()
Характеристики домашнего задания
Учебное заведение
Семестр
Номер задания
Вариант
Просмотров
112
Размер
7,63 Mb
Список файлов
Вариант 10 - ДЗ №2 - Дифференциальные уравнения - СМ.pdf
Задача5.pdf

Друзья, спасибо за доверие! Если вам понравилась работа – поставьте 5⭐ и напишите отзыв. Это поможет другим студентам, а мне даст силы делать ещё больше качественных материалов для вас 🔥