Для студентов МГТУ им. Н.Э.Баумана по предмету Интегралы и дифференциальные уравнения (ИиДУ)Дифференциальные уравнения высших порядковДифференциальные уравнения высших порядков
5,0052
2023-05-182024-09-03СтудИзба
ДЗ 2: Дифференциальные уравнения высших порядков вариант 5
-66%
Описание
Вариант 5 - ДЗ №2 - Дифференциальные уравнения- ИУ, РЛ, БМТ, ФН12
Зачтено на максимальный балл 💥 💥 💥
Спасибо за покупку 🥰🥰🥰
Интегралы и дифференциальные уравнения (2-й семестр)

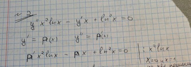
Задача 1

Задача 2



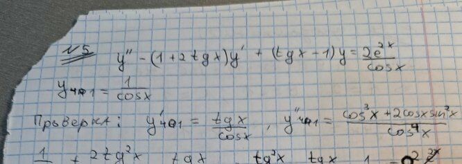
Задача 5

Характеристики домашнего задания
Учебное заведение
Семестр
Номер задания
Вариант
Просмотров
117
Размер
11,24 Mb
Список файлов
Вариант 5 - ДЗ №2 - Дифференциальные уравнения ИУ.pdf

Друзья, спасибо за доверие! Если вам понравилась работа – поставьте 5⭐ и напишите отзыв. Это поможет другим студентам, а мне даст силы делать ещё больше качественных материалов для вас 🔥