Для студентов МГТУ им. Н.Э.Баумана по предмету Интегралы и дифференциальные уравнения (ИиДУ)Дифференциальные уравненияДифференциальные уравнения
5,00512
2023-05-182024-09-03СтудИзба
ДЗ 2: Дифференциальные уравнения вариант 22
-66%
Описание
Вариант 22 - ДЗ №2 - Дифференциальные уравнения - СМ
Зачтено на максимальный балл 💥 💥 💥
Спасибо за покупку 🥰🥰🥰
Задача 1
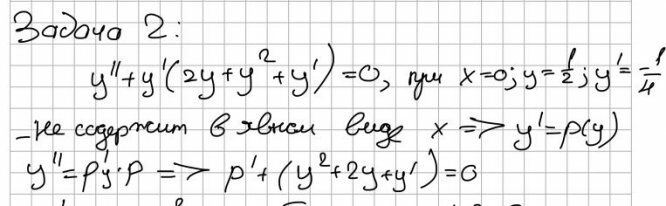
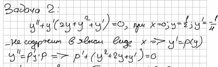
Задача 2
Задача 3
Задача 4
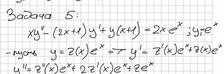
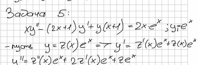
Задача 5 ![]()
Характеристики домашнего задания
Учебное заведение
Семестр
Номер задания
Вариант
Просмотров
209
Размер
3,33 Mb
Список файлов
Вариант 22 - ДЗ №2 - Дифференциальные уравнения - СМ.pdf

Друзья, спасибо за доверие! Если вам понравилась работа – поставьте 5⭐ и напишите отзыв. Это поможет другим студентам, а мне даст силы делать ещё больше качественных материалов для вас 🔥