Для студентов МГТУ им. Н.Э.Баумана по предмету Интегралы и дифференциальные уравнения (ИиДУ)Дифференциальные уравненияДифференциальные уравнения
5,00516
2023-05-142024-09-03СтудИзба
ДЗ 2: Дифференциальные уравнения вариант 8
-66%
Описание
Вариант 8 - ДЗ №2 - Дифференциальные уравнения - СМ,ФН,РК4,ФН2,2023г
Зачтено на максимальный балл 💥 💥 💥
Спасибо за покупку 🥰🥰🥰
Задача 1

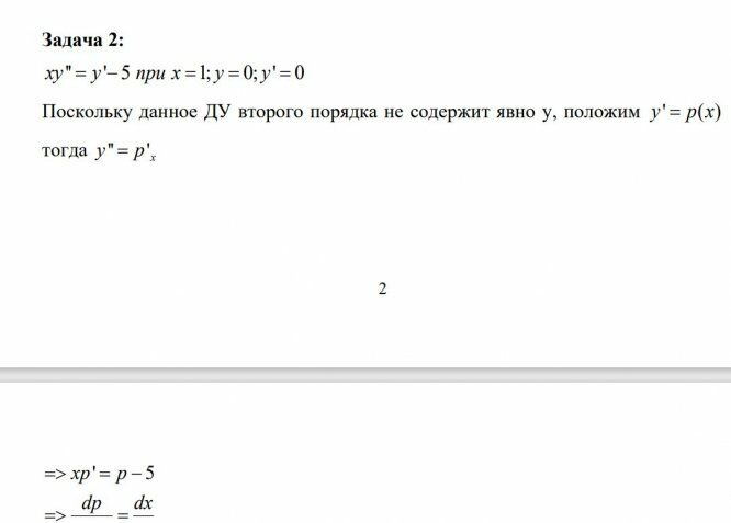
Задача 2

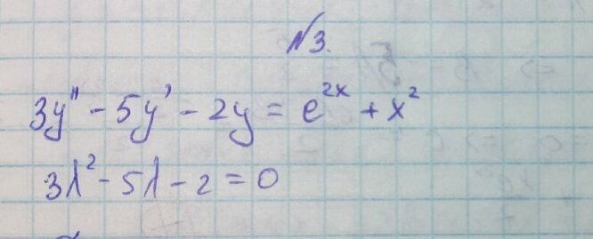
Задача 3

Задача 4

Задача 5

Характеристики домашнего задания
Учебное заведение
Семестр
Номер задания
Вариант
Просмотров
249
Размер
1,77 Mb
Список файлов
Задача 2.JPG
Вариант 8 - ДЗ №2 - Дифференциальные уравнения - СМ.pdf

Друзья, спасибо за доверие! Если вам понравилась работа – поставьте 5⭐ и напишите отзыв. Это поможет другим студентам, а мне даст силы делать ещё больше качественных материалов для вас 🔥