Для студентов МГТУ им. Н.Э.Баумана по предмету Интегралы и дифференциальные уравнения (ИиДУ)Определенный интегралОпределенный интеграл
5,0052
2023-04-092025-02-11СтудИзба
Вариант 11 - ДЗ №1 - "Определенный интеграл" - 6 задач
ДЗ 1: Определенный интеграл вариант 11
-43%
Описание
Типовой расчет №1 по математическому анализу, "Определенный интеграл", зачтено
Задача 1:
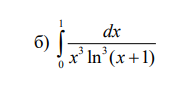
Задача 2:
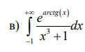
Задача 3:
Задача 4:
Задача 5:
Задача 6:
Показать/скрыть дополнительное описание
Задача 1:








Типовой расчет по интегралам МГТУ.
Характеристики домашнего задания
Учебное заведение
Семестр
Номер задания
Вариант
Просмотров
37
Качество
Идеальное компьютерное
Размер
589,43 Kb
Список файлов
Вариант 11 Инты 1 140.pdf

Спасибо за покупку! Я буду очень рад, если поставишь справедливую оценку купленному файлу :3 Ищи больше работ в моём профиле, там много нужного тебе!