Для студентов МГТУ им. Н.Э.Баумана по предмету Интегралы и дифференциальные уравнения (ИиДУ)Определенный интегралОпределенный интеграл
5,0057
2022-03-232024-09-03СтудИзба
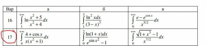
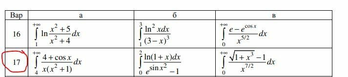
ДЗ 1: Определенный интеграл вариант 17
-66%
Описание
2023г Вариант 17 - ДЗ №1 - Определённый интеграл - ФН1
Интегралы и дифференциальные уравнения (2-й семестр)
Защищено на 10 из 10 возможных баллов







Характеристики домашнего задания
Учебное заведение
Семестр
Номер задания
Вариант
Программы
Просмотров
508
Качество
Идеальное компьютерное
Размер
219,61 Kb
Список файлов
Вариант 17 - ДЗ №1 - Определённый интеграл.docx

Друзья, спасибо за доверие! Если вам понравилась работа – поставьте 5⭐ и напишите отзыв. Это поможет другим студентам, а мне даст силы делать ещё больше качественных материалов для вас 🔥