Для студентов МГТУ им. Н.Э.Баумана по предмету Интегралы и дифференциальные уравнения (ИиДУ)Определенный интегралОпределенный интеграл
5,00516
2022-03-202024-09-03СтудИзба
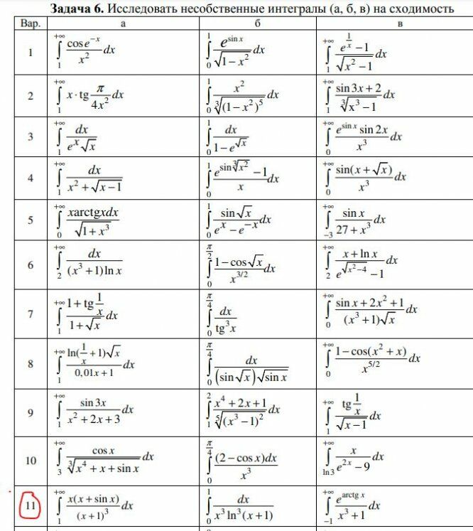
ДЗ 1: Определенный интеграл вариант 11
-66%
Описание
2023г Вариант 11 - ДЗ №1 - Определённый интеграл - ФН1
Зачтено на максимальный балл
Интегралы и дифференциальные уравнения (2-й семестр)







Файлы условия, демо
Характеристики домашнего задания
Учебное заведение
Семестр
Номер задания
Вариант
Программы
Просмотров
624
Качество
Идеальное компьютерное
Размер
531,16 Kb
Список файлов
Вариант 11 - ДЗ №1 - Определённый интеграл.docx

Друзья, спасибо за доверие! Если вам понравилась работа – поставьте 5⭐ и напишите отзыв. Это поможет другим студентам, а мне даст силы делать ещё больше качественных материалов для вас 🔥