Для студентов МГТУ им. Н.Э.Баумана по предмету Интегралы и дифференциальные уравнения (ИиДУ)Приложение определенного интегралаПриложение определенного интеграла
5,00510
2021-05-082024-09-03СтудИзба
ДЗ 1: Приложение определенного интеграла вариант 9
-66%
Описание
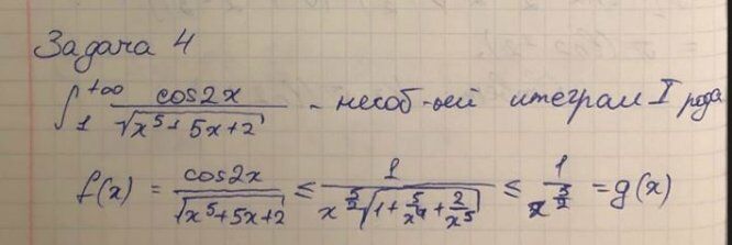
Вариант 9 - ДЗ №1 - Определённый интеграл - ИУ, РЛ, БМТ, ФН12
Зачтено на максимальный балл
Интегралы и дифференциальные уравнения (2-й семестр)







Характеристики домашнего задания
Учебное заведение
Семестр
Номер задания
Вариант
Просмотров
300
Размер
5,27 Mb
Список файлов
Вариант 9 - ДЗ №1 - Определённый интеграл - ИУ, РЛ, БМТ, ФН12.docx

Друзья, спасибо за доверие! Если вам понравилась работа – поставьте 5⭐ и напишите отзыв. Это поможет другим студентам, а мне даст силы делать ещё больше качественных материалов для вас 🔥