Для студентов МГТУ им. Н.Э.Баумана по предмету Интегралы и дифференциальные уравнения (ИиДУ)Дифференциальные уравнения высших порядковДифференциальные уравнения высших порядков
5,00525
2021-03-182024-09-03СтудИзба
ДЗ 2: Дифференциальные уравнения высших порядков вариант 12
-66%
Описание
Вариант 12 - ДЗ №2 - Дифференциальные уравнения- ИУ, РЛ, БМТ, ФН12
Зачтено на максимальный балл 💥 💥 💥
Спасибо за покупку 🥰🥰🥰
Интегралы и дифференциальные уравнения (2-й семестр) ![]()
Задача 1 
Задача 2

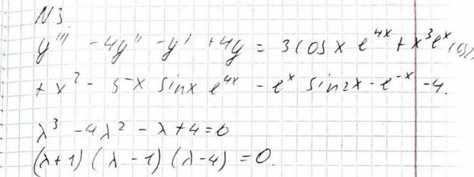
Задача 3

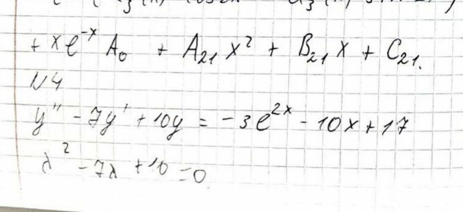
Задача 4

Задача 5

Характеристики домашнего задания
Учебное заведение
Семестр
Номер задания
Вариант
Просмотров
399
Размер
2,05 Mb
Список файлов
Capture.JPG
Вариант 12 - ДЗ №2 - Дифференциальные уравнения- ИУ, РЛ, БМТ, ФН12.pdf

Друзья, спасибо за доверие! Если вам понравилась работа – поставьте 5⭐ и напишите отзыв. Это поможет другим студентам, а мне даст силы делать ещё больше качественных материалов для вас 🔥